Foram encontradas 601 questões.
No caso de um mercado com três empresas produtoras diferentes, atuando como um oligopólio de Cournot,
Provas
Questão presente nas seguintes provas

Provas
Questão presente nas seguintes provas
Considere um experimento em que se estude o índice de octanagem da gasolina em função da adição de dois aditivos, I e II, em %.
Os resultados dos ensaios realizados e o coeficiente de correlação referente à experiência I estão apresentados nas tabelas a seguir.

Considerando-se que, com o aditivo II, o índice de octanagem cresceu sistematicamente 10% em relação ao índice obtido com o aditivo I, para os mesmos % de aditivo, o valor de X é
Os resultados dos ensaios realizados e o coeficiente de correlação referente à experiência I estão apresentados nas tabelas a seguir.

Considerando-se que, com o aditivo II, o índice de octanagem cresceu sistematicamente 10% em relação ao índice obtido com o aditivo I, para os mesmos % de aditivo, o valor de X é
Provas
Questão presente nas seguintes provas
Segundo o Plano Nacional de Energia 2030, do Ministério de Minas e Energia, o período de 1990-94 foi marcado por profundas mudanças na política de comércio exterior, uma vez que, simultaneamente à adoção do câmbio livre, intensificou-se o programa de liberalização da política de importações. Assim, a partir de 1990, foram extintas as listas de produtos com emissão de guias de importação assim como os regimes especiais de importação (exceto a Zona Franca de Manaus, drawback e bens de informática). Também acabaram diversos controles quantitativos de importação para dar lugar a um controle tarifário, com alíquotas declinantes ao longo do tempo. A tabela a seguir apresenta algumas estatísticas das alíquotas de importação para o período 1990 a 1994.

Os anos em que as alíquotas de importação mostraram-se relativamente mais homogêneas e mais heterogêneas foram, respectivamente,

Os anos em que as alíquotas de importação mostraram-se relativamente mais homogêneas e mais heterogêneas foram, respectivamente,
Provas
Questão presente nas seguintes provas
O gráfico abaixo mostra curvas de oferta de maçãs, a curto e a longo prazos

De acordo com o gráfico, conclui-se que

De acordo com o gráfico, conclui-se que
Provas
Questão presente nas seguintes provas

Considere o diagrama acima, formado por três subsistemas, representando a estrutura operacional de um sistema eletrônico. A probabilidade de cada componente operar adequadamente está explicitada no diagrama.
Para que o sistema funcione, é necessário que o subsistema C e pelo menos um dos componentes de cada um dos subsistemas A e B funcionem. Supondo-se que os componentes operem de forma independente, a probabilidade de que o sistema funcione é
Provas
Questão presente nas seguintes provas
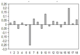
Um analista deseja modelar a evolução de um índice de qualidade de vida e, para isso dispõe de uma série temporal formada por 81 observações mensais. Inicialmente ele tenta ajustar o modelo na forma Xt = ΦXt-1 + εt-1, em que |Φ| < 1 e |θ| < 1 são os coeficientes do modelo; Xt é o valor do indicador no mês representa o ruído branco no mês t;εt com média zero e variância σ2. Abaixo, encontram-se os valores e o gráfico da função de autocorrelação dos resíduos gerados pelo modelo ajustado.


A partir desses dados , conclui-se que os resíduos do modelo


A partir desses dados , conclui-se que os resíduos do modelo
Provas
Questão presente nas seguintes provas
Suponha que o custo de produção de energia por kilowatt/hora seja uma função linear do custo do carvão, em centavos de dólar por milhão de Btu. Os resultados parciais a seguir foram obtidos a partir da produção de 12 moinhos.

Nesse modelo de regressão linear simples, o coeficiente de determinação que representa o quanto da variável dependente é explicada pela variável independente é

Nesse modelo de regressão linear simples, o coeficiente de determinação que representa o quanto da variável dependente é explicada pela variável independente é
Provas
Questão presente nas seguintes provas

I – A equação demanda é subidentificada e a de oferta é identificada.
II – A estimação dos parâmetros das equações na forma reduzida pelo método dos mínimos quadrados ordinários produz estimadores consistentes.
III – Os resíduos das equações na forma reduzida são independentes.
Está correto APENAS o que se afirma em
Provas
Questão presente nas seguintes provas
Sejam as variáveis aleatórias Y e X tais que Yi = θXiαεi sendo εi erros tais que ui = log εi, i = 1,2,...,n sejam variáveis aleatórias independentes distribuídas normalmente, com média zero e variância σAplicando logaritmos na base 10,segue que Zi = log Yi e Wi = logXi.
Utilizando-se um modelo de regressão linear, obteve-se a seguinte equação:

De acordo com esses dados, as estimativas de
são
Provas
Questão presente nas seguintes provas
Cadernos
Caderno Container