Foram encontradas 90 questões.

La partícula " Su" y "Mi" deI primer recuadro son:
Provas
Questão presente nas seguintes provas
O processo de constituição do Estado nacional brasileiro estendeu-se pelo século XIX. após ter sido iniciado pelo imperador D. Pedro l. Sobre o referido processo. analise as afirmativas abaixo e, a seguir, assinale a alternativa correta.
I. O Brasil assinou o Tratado de Paz e A liança com Portugal que, entre outros fatores, obrigava D. Pedro I a ceder o título honorário de Imperador do Brasil a D. João VI e a não aceitar união com qualquer outra colônia portuguesa.
II. Foi adotada uma política livre-cambista que, apesar da tentativa de fomentar a indústria nacional, fracassou em função dos baixos preços dos produtos britânicos.
III. A Constituição outorgada em 1824 classificou, para fins eleitorais, os cidadãos em: cidadãos passivos - não alcançavam renda suficiente para ter direitos políticos; cidadãos ativos votantes - os que possuíam renda suficiente para votar; cidadãos ativos eleitores elegíveis - os que tinham renda suficiente para ser eleito.
IV. A Confederação do equador foi um momento crítico daquele período e se caracterizou pela liderança das elites de Pernambuco, Rio Grande do Norte, Ceará, Paraíba e Bahia, atingidos pela crise dos produtos típicos da região como o açúcar e o algodão.
Provas
Questão presente nas seguintes provas
Sobre a produção de energia no Brasil, analise as afirmativas e, a seguir, assinale a alternativa correta.
I. A concentração de hidroelétricas na região Centro-Oeste ocorreu pela forte demanda da fronteira agrícola.
II. O esgotamento de possibilidades de construção de grandes hidroelétricas na região Sudeste levou a uma mudança para modelos menores.
III. As termoelétricas hoje existentes funcionam com matrizes energéticas como o carvão e gás natural.
IV. Os chamados biocombustíveis tem sua matriz em programas anteriores como o Pró-álcool criado em 1975.
Provas
Questão presente nas seguintes provas
Uma solução tampão pode ser preparada pela mistura de um ácido fraco e seu sal. Um tampão conhecido é o acético que consiste na mistura do ácido etanóico e o acetato de sódio. A atuação de uma solução tampão pode ser entendida usando-se o princípio de Le Châtelier. Analise as afirmativas abaixo e, a seguir, assinale a alternativa correta.
I. Segundo o princípio de Le Châtelier a adição de H+ ao sistema tampão faz liberar mesma quantidade de OH-.
II. O sistema tampão funciona no sistema digestivo, mas não no sistema sanguíneo.
III. Por adição do sal à solução do ácido para formar o tampão, a percentagem de dissociação do ácido diminui.
IV. A solução tampão sofre pequena variação de pH quando a ela são adicionados íons H+ ou OH-.
Provas
Questão presente nas seguintes provas
Uma determinada massa de um gás “A” está contida em um recipiente fechado, de paredes rígidas e munido de uma válvula para entrada e saída de gás. Assinale o fato que ocorrerá se um gás “B” é injetado pela válvula de entrada:
Provas
Questão presente nas seguintes provas
A dissolução de uma substância em outra pode ser considerada como acontecendo em três etapas distintas: 1. Separação das partículas do soluto; 2. Separação das partículas do solvente; 3. Formação das interações soluto-solvente. As energias envolvidas nessas etapas são importantes na formação da solução. Com relação a essas energias e ao processo de formação de soluções, analise as afirmativas abaixo e, a seguir, assinale a alternativa correta.
I. Ambas as etapas 1 e 2 ocorrem com absorção de calor.
II. Se a energia da etapa 3 suplantar a soma de 1 e 2, o processo é exotérmico.
III. A etapa 3 pode ser exotérmica ou endotérmica a depender do soluto.
IV. Se a soma de 1 e 2 for maior que o módulo de 3, a dissolução libera calor.
V. Se a energia para separar as partículas do soluto for elevada, não ocorrerá a dissolução.
Provas
Questão presente nas seguintes provas
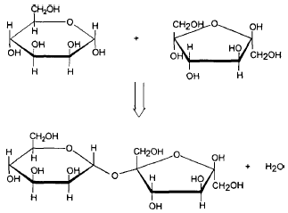
O esquema a seguir representa a formação da sacarose, um dissacarídeo, a partir da reação entre a glicose e a frutose:

Após analisar o esquema acima e com base nos seus conhecimentos sobre carboidratos, analise as afirmativas abaixo e, a seguir, assinale a alternativa correta.
I. O esquema acima representa uma reação de condensação.
II. A glicose é uma hexose e a frutose é uma pentose.
III. A degradação da sacarose é uma hidrólise.
IV. A formação de um polissacarídeo é uma polimerização de adição.
V. A ligação entre os dois anéis na sacarose é do tipo covalente.
Provas
Questão presente nas seguintes provas
TEXTO I
La historia está en nosotros o en ninguna parte. No está atrás, en ese lugar nebuloso que lIamamos pasado. No está en los libros que codifican esa historia, a menos que los hagamos nuestros, ni en los papeles muertos de nuestros archivos, a menos que los revivamos con nuestra mirada. Tampoco está en los templos, los museos o edificios mudos de nuestras ciudades, a menos que los hagamos hablar con nuestro conocimiento de otros tiempos y otros hombres.( ... )
Todo lo que hay en el reino deI hombre ha empezado y terminado alguna vez, todo es historia. Pero hay la historia que pasó y la historia que sigue sucediendo, eso que Fernand Braudel lIamó la historia de "larga duración", cuyos cambios, lentos y profundos, duran más que los gobiernos o las batallas.( ... )
Quisiera poner ahora el acento no tanto en las cosas que cambiaron esos acontecimientos centrales de nuestra historia, sino en algunos de los rasgos que parecen durar a través deI tiempo, que extienden su sombra hasta nosotros y son todavía la historia que somos.
(HÉCTOR, Aguilar Camín. Actualidad del pasado. Dos siglos de cambios y
costumbres políticas de México. Revista Nexos, n. 386, Febrero de 2010. p. 51).
Lo subrayado en las oraciones: "(...) duran más que los gobiernos o las batallas.(...)" "(...) está en los ... edificios mudos de nuestra ciudades(...)", corresponde respectivamente a un (a):
Provas
Questão presente nas seguintes provas
Considera-se característica histórica da urbanização brasileira:
Provas
Questão presente nas seguintes provas
A concentração da população brasileira em determinadas áreas do país apresenta características singulares no seu intenso processo, tais como: ocupação de encostas, ocupação de áreas alagadiças e/ou margens de rios, etc. Tais aspectos levam a uma maior suscetibilidade a desastres naturais, como movimentos de massa ou vulnerabilidade a intempéries climáticas. Sobre o assunto, assinale a alternativa correta.
Provas
Questão presente nas seguintes provas
Cadernos
Caderno Container