Foram encontradas 90 questões.
No quadro dos movimentos coloniais separatistas destacou-se na Bahia, em 1798, a Conjuração Baiana. Analise as afirmativas abaixo sobre este movimento e, a seguir, assinale a alternativa correta.
I. Um dos elementos de inspiração do movimento era o ideário revolucionário da República jacobina estabelecida na França entre 1793 e 1794.
II. Os Cavaleiros da Luz, denominação dos integrantes da sociedade maçônica baiana, impulsionaram o movimento de resistência fazendo circular panfletos que atacavam ferozmente a administração local.
III. O contexto da transferência da capital da colônia para o Rio de Janeiro agravou a situação das camadas mais pobres, sobretudo, pelo aumento nos preços dos produtos e pela diminuição da oferta de empregos na Capitania da Bahia.
IV. A Conjuração Baiana, assim como a Inconfidência Mineira, se pautou, basicamente, na discussão das questões políticas liberais e, apesar de obtido o apoio das camadas populares foi liderada por intelectuais e grandes comerciantes.
Provas
Questão presente nas seguintes provas


If you read Kenneth Lo's cookery book you
Provas
Questão presente nas seguintes provas
A quantidade de partículas de soluto existentes em 1 litro de uma solução 0,1 mol/litro de sulfato de cobre (II), CuSO4, é:
Provas
Questão presente nas seguintes provas
Sobre a Regência Una e a eleição de Feijó, assinale a alternativa correta.
Provas
Questão presente nas seguintes provas
Considere a equação abaixo para responder a questão.
K2Cr2O7 + Na2C2O4 + H2SO4 → K2SO4 + Cr2(SO4)3 + Na2SO4 + H2O + CO2
Após balancear a equação, assinale a alternativa que representa o número de átomos de oxigênio envolvidos na reação:
Provas
Questão presente nas seguintes provas
O comportamento químico de aldeídos e cetonas está relacionado ao grupo funcional carbonila (C = O). Por esta razão esses compostos apresentam propriedades semelhantes. Em relação a aldeídos e cetonas, analise as afirmativas abaixo e, a seguir, assinale a alternativa correta.
I. Ambos apresentam reações de adição nucleófila.
II. Ambos são oxidados originando dois ácidos.
III. A redução de uma cetona dá origem a um álcool secundário.
IV. Aldeídos e cetonas não podem ser distinguidos por reações químicas.
Provas
Questão presente nas seguintes provas
Assinale a alternativa que apresenta a análise adequada.
Provas
Questão presente nas seguintes provas
TEXTO I
La historia está en nosotros o en ninguna parte. No está atrás, en ese lugar nebuloso que lIamamos pasado. No está en los libros que codifican esa historia, a menos que los hagamos nuestros, ni en los papeles muertos de nuestros archivos, a menos que los revivamos con nuestra mirada. Tampoco está en los templos, los museos o edificios mudos de nuestras ciudades, a menos que los hagamos hablar con nuestro conocimiento de otros tiempos y otros hombres.( ... )
Todo lo que hay en el reino deI hombre ha empezado y terminado alguna vez, todo es historia. Pero hay la historia que pasó y la historia que sigue sucediendo, eso que Fernand Braudel lIamó la historia de "larga duración", cuyos cambios, lentos y profundos, duran más que los gobiernos o las batallas.( ... )
Quisiera poner ahora el acento no tanto en las cosas que cambiaron esos acontecimientos centrales de nuestra historia, sino en algunos de los rasgos que parecen durar a través deI tiempo, que extienden su sombra hasta nosotros y son todavía la historia que somos.
(HÉCTOR, Aguilar Camín. Actualidad del pasado. Dos siglos de cambios y
costumbres políticas de México. Revista Nexos, n. 386, Febrero de 2010. p. 51).
Relacione los tiempos verbales a los verbos conjugados en las oracíones al lado y, enseguida, señale la asociación correcta.
1. pretérito indefinido ( ) "(...) hagamos nuestros ... "
2. pretérito imperfecto ( ) "(...) lIamó la historia ... "
3. pretérito perfecto compuesto ( ) "(...) ha empezado ... "
4. presente del indicativo ( ) "(...) todo es historia ... "
5. presente del subjuntivo
Provas
Questão presente nas seguintes provas
Com base nos conceitos ácido-base de Arrhenius e de Brönsted-Lowry, analise as afirmativas abaixo, colocando entre parenteses a letra “V”, quando se tratar de afirmativa verdadeira, e a letra “F”, quando se tratar de afirmativa falsa. A seguir, assinale a alternativa que apresenta a sequência correta.
( ) Espécies químicas que têm na sua composição hidrogênio com carga parcial positiva, H8+, são ácidos de Arrhenius.
( ) Bases de Brönsted-Lowry têm na sua composição átomos com pares de elétrons não-ligantes.
( ) Bases de Brönsted-Lowry, em água, produzem íons OH-.
( ) Ácidos de Arrhenius são substâncias iônicas.
Provas
Questão presente nas seguintes provas
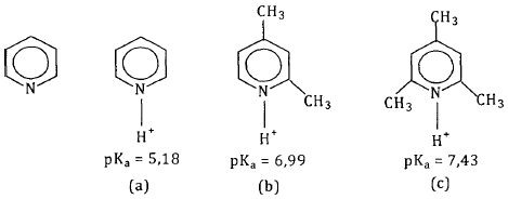
São dados a seguir as estruturas da piridina, as de alguns de seus derivados e os valores de pKa para esses derivados. São dadas também algumas informações sobre esses compostos:
I. o composto (a) é o ácido conjugado da piridina.
II. o composto (a) é base mais forte que (b) e (c).
III. os grupos metil aumentam a força básica da piridina.
IV. o composto (b) é um ácido mais fraco que (c).

Das informações dadas estão corretas:
Provas
Questão presente nas seguintes provas
Cadernos
Caderno Container