Magna Concursos

Foram encontradas 70 questões.

1934556 Ano: 2020
Disciplina: TI - Desenvolvimento de Sistemas
Banca: VUNESP
Orgão: EsFCEx
Provas:
A operação de busca em uma árvore B, no pior caso, tem complexidade de tempo equivalente a:
 

Provas

Questão presente nas seguintes provas

Em 1998, o Brasil foi um dos países pioneiros ao adaptar e calcular um IDH subnacional para todos os municípios brasileiros, com dados do Censo Demográfico, criando o Índice de Desenvolvimento Humano Municipal (IDHM).

(http://atlasbrasil.org.br/2013/data/rawData/publicacao_atlas_rm_pt.pdf)

Um dos pontos positivos do IDHM é o fato de ele

 

Provas

Questão presente nas seguintes provas
1934221 Ano: 2020
Disciplina: TI - Desenvolvimento de Sistemas
Banca: VUNESP
Orgão: EsFCEx
Provas:
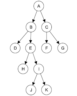
Observe a árvore binária a seguir:
Enunciado 1934221-1
O caminhamento central (infixado) sobre essa árvore produz a sequência de visitação:
 

Provas

Questão presente nas seguintes provas
1934219 Ano: 2020
Disciplina: Gerência de Projetos
Banca: VUNESP
Orgão: EsFCEx
Provas:
Na fase inicial do processo de contagem de pontos de função, o tipo de contagem deve ser estabelecido de acordo com a análise esperada entre:
 

Provas

Questão presente nas seguintes provas
Há uma história do tenentismo antes e depois de 1930. Os dois períodos dividem-se por uma diferença essencial.
(Boris Fausto. História do Brasil. São Paulo. Editora da Universidade de São Paulo/Fundação para o Desenvolvimento da Educação, 2000)
O tenentismo, antes e depois de 1930, respectivamente,
 

Provas

Questão presente nas seguintes provas
Em 1983, lideranças partidárias demandavam mudança nas regras da sucessão da presidência da República, mediante a aprovação de emenda constitucional.
Só um fato extraordinário poderia romper com as regras que impunham a vitória de um candidato eleito pelo voto indireto para a sucessão presidencial, e as oposições se encarregaram de criá-lo. A campanha com lema “Diretas Já” começou timidamente, em junho de 1983, com um comício em Goiânia, que reuniu 5 mil pessoas e demonstrou a viabilidade de um movimento de massas orientado para exigir do Congresso Nacional a aprovação da Emenda Dante de Oliveira.
A oposição contava com algumas vantagens.
(Lilia M. Schwarcz e Heloisa M. Starling. Brasil: uma biografia. São Paulo: Companhia das Letras, 2015. Adaptado)
Para Lilia Schwarcz e Heloisa Starling, uma dessas vantagens foi
 

Provas

Questão presente nas seguintes provas
Qual é o papel de um museu que conta histórias de vida?
O Museu da Pessoa foi criado em 1991 com o objetivo de registrar e preservar histórias de vida de todo e qualquer indivíduo. A ideia é valorizar essas memórias e torná-las uma fonte de compreensão, conhecimento e conexão entre as pessoas, dos narradores aos visitantes que a instituição atrai.
O Museu da Pessoa é colaborativo, ou seja, qualquer pessoa pode se voluntariar para contar sua história. Todas as pessoas que se dispõem a falar são entrevistadas por colaboradores da instituição, que durante longas conversas buscam estimular os participantes a lembrar os detalhes de sua trajetória. É possível encontrar nos arquivos histórias de professores, poetas, comerciantes e trabalhadores rurais, de variadas idades e regiões do país.
A curadora e fundadora do Museu da Pessoa, Karen Worcman, teve a ideia de criar a instituição no fim dos anos 1980, quando participou de um projeto de entrevistas com imigrantes no Rio e percebeu que os depoimentos ouvidos ajudavam a contar a história mais ampla do país. Mais de 25 anos depois da fundação do museu, Worcman pensa o mesmo. “A história de cada pessoa é uma perspectiva única sobre a história comum que todos nós vivemos como sociedade”, disse a curadora ao jornal Nexo.
Para Worcman, as narrativas do acervo podem fazer o público do museu não só conhecer a vida de outras pessoas mas também “aprender sobre o mundo e a sociedade com o olhar do outro”. Abertas a outros pontos de vista, as pessoas transformam seu modo de ver o mundo e criam uma sociedade mais justa e igualitária.
(Mariana Vick, Nexo Jornal, 29 de junho de 2020. Adaptado)
Bechara (2019) define as conjunções coordenativas como aquelas que “reúnem orações que pertencem ao mesmo nível sintático”. Nesse sentido, é correto afirmar que a alternativa em que a conjunção coordenativa aparece em destaque é:
 

Provas

Questão presente nas seguintes provas
1934004 Ano: 2020
Disciplina: TI - Redes de Computadores
Banca: VUNESP
Orgão: EsFCEx
Provas:

Um método para mapear uma rede de computadores alvo antes de se realizar um ataque é conhecido como varredura de ping por echo request. Embora possa haver necessidades organizacionais que determinem a liberação do tipo de tráfego relacionado a esta varredura, os firewalls em geral são capazes de filtrá-lo. Para prevenir varreduras desse tipo, pode-se restringir tráfego

 

Provas

Questão presente nas seguintes provas
Qual é o papel de um museu que conta histórias de vida?
O Museu da Pessoa foi criado em 1991 com o objetivo de registrar e preservar histórias de vida de todo e qualquer indivíduo. A ideia é valorizar essas memórias e torná-las uma fonte de compreensão, conhecimento e conexão entre as pessoas, dos narradores aos visitantes que a instituição atrai.
O Museu da Pessoa é colaborativo, ou seja, qualquer pessoa pode se voluntariar para contar sua história. Todas as pessoas que se dispõem a falar são entrevistadas por colaboradores da instituição, que durante longas conversas buscam estimular os participantes a lembrar os detalhes de sua trajetória. É possível encontrar nos arquivos histórias de professores, poetas, comerciantes e trabalhadores rurais, de variadas idades e regiões do país.
A curadora e fundadora do Museu da Pessoa, Karen Worcman, teve a ideia de criar a instituição no fim dos anos 1980, quando participou de um projeto de entrevistas com imigrantes no Rio e percebeu que os depoimentos ouvidos ajudavam a contar a história mais ampla do país. Mais de 25 anos depois da fundação do museu, Worcman pensa o mesmo. “A história de cada pessoa é uma perspectiva única sobre a história comum que todos nós vivemos como sociedade”, disse a curadora ao jornal Nexo.
Para Worcman, as narrativas do acervo podem fazer o público do museu não só conhecer a vida de outras pessoas mas também “aprender sobre o mundo e a sociedade com o olhar do outro”. Abertas a outros pontos de vista, as pessoas transformam seu modo de ver o mundo e criam uma sociedade mais justa e igualitária.
(Mariana Vick, Nexo Jornal, 29 de junho de 2020. Adaptado)
Considere os enunciados:
  • O Museu da Pessoa possibilita qualquer indivíduo o registro de suas memórias.
  • Devido entrevistas realizadas por colaboradores da instituição, é possível encontrar histórias de muitas pessoas, de variadas idades e regiões do país.
  • A instituição qual Karen Worcman estava vinculada realizava entrevistas com imigrantes no Rio de Janeiro.
Em conformidade com as considerações de Almeida (2006), no Dicionário de questões vernáculas, sobre o emprego do acento indicativo de crase, as lacunas dos enunciados devem ser preenchidas, respectivamente, com:
 

Provas

Questão presente nas seguintes provas
Muitos creem que é supérfulo ter uma longa noite de sono, porém, para o neurocientista Matthew Walker, autor do livro “Por que nós dormimos?”, os seres humanos precisam, com raras excessões, de oito horasdiárias de sono. Há um consenso de que indivíduos que prescindem de uma boa noite de sono podem se tornar anciosos e ter um comportamento contraproducente, por isso Walker recomenda que as pessoas também façam a sesta, o que certamente é factível apenas para alguns previlegiados.
Para que o texto esteja em conformidade com a ortografia e a acentuação previstas pela norma-padrão, algumas das palavras destacadas devem ser reescritas. A forma correta dessas palavras encontra-se na alternativa:
 

Provas

Questão presente nas seguintes provas