Foram encontradas 70 questões.
Sem entrar em ebulição, 1,0 L de água aquecido por um cientista absorveu 2,5 kJ de calor. Uma vez que o calor é absorvido a volume constante, a variação de energia interna (∆E) para esse sistema é:
Provas
Questão presente nas seguintes provas
Assinale a alternativa correta a partir dos conceitos de aprendizagem e desenvolvimento para Piaget.
Provas
Questão presente nas seguintes provas
Em 1998, o Brasil foi um dos países pioneiros ao adaptar e calcular um IDH subnacional para todos os municípios brasileiros, com dados do Censo Demográfico, criando o Índice de Desenvolvimento Humano Municipal (IDHM).
(http://atlasbrasil.org.br/2013/data/rawData/publicacao_atlas_rm_pt.pdf)
Um dos pontos positivos do IDHM é o fato de ele
Provas
Questão presente nas seguintes provas
Considere os seguintes pares de compostos iônicos:
I. MgO e MgS.
II. KBr e CaBr2 .
III. MgF2 e CaF2 .
Os compostos que apresentam maior energia reticular em I, II e III, são, correta e respectivamente,
Provas
Questão presente nas seguintes provas
Há uma história do tenentismo antes e depois de 1930. Os dois períodos dividem-se por uma diferença essencial.
(Boris Fausto. História do Brasil. São Paulo. Editora da Universidade de São Paulo/Fundação para o Desenvolvimento da Educação, 2000)
O tenentismo, antes e depois de 1930, respectivamente,
Provas
Questão presente nas seguintes provas
Em 1983, lideranças partidárias demandavam mudança nas regras da sucessão da presidência da República, mediante a aprovação de emenda constitucional.
Só um fato extraordinário poderia romper com as regras que impunham a vitória de um candidato eleito pelo voto indireto para a sucessão presidencial, e as oposições se encarregaram de criá-lo. A campanha com lema “Diretas Já” começou timidamente, em junho de 1983, com um comício em Goiânia, que reuniu 5 mil pessoas e demonstrou a viabilidade de um movimento de massas orientado para exigir do Congresso Nacional a aprovação da Emenda Dante de Oliveira.
A oposição contava com algumas vantagens.
(Lilia M. Schwarcz e Heloisa M. Starling. Brasil: uma biografia. São Paulo: Companhia das Letras, 2015. Adaptado)
Para Lilia Schwarcz e Heloisa Starling, uma dessas vantagens foi
Provas
Questão presente nas seguintes provas
Considere as reações ácido-base representadas nas equações:
I. NH4 + + NH2 – !$ \rightarrow !$ 2NH3 .
II. CH3 NH2 + H2 O !$ \rightarrow !$CH3 NH3 + + OH–
III. SO3 2– + S !$ \rightarrow !$ S2 O3 2–
As espécies que atuam como ácido nas reações representadas em I, II e III são, respectivamente,
Provas
Questão presente nas seguintes provas
Qual é o papel de um museu que conta histórias de vida?
O Museu da Pessoa foi criado em 1991 com o objetivo de registrar e preservar histórias de vida de todo e qualquer indivíduo. A ideia é valorizar essas memórias e torná-las uma fonte de compreensão, conhecimento e conexão entre as pessoas, dos narradores aos visitantes que a instituição atrai.
O Museu da Pessoa é colaborativo, ou seja, qualquer pessoa pode se voluntariar para contar sua história. Todas as pessoas que se dispõem a falar são entrevistadas por colaboradores da instituição, que durante longas conversas buscam estimular os participantes a lembrar os detalhes de sua trajetória. É possível encontrar nos arquivos histórias de professores, poetas, comerciantes e trabalhadores rurais, de variadas idades e regiões do país.
A curadora e fundadora do Museu da Pessoa, Karen Worcman, teve a ideia de criar a instituição no fim dos anos 1980, quando participou de um projeto de entrevistas com imigrantes no Rio e percebeu que os depoimentos ouvidos ajudavam a contar a história mais ampla do país. Mais de 25 anos depois da fundação do museu, Worcman pensa o mesmo. “A história de cada pessoa é uma perspectiva única sobre a história comum que todos nós vivemos como sociedade”, disse a curadora ao jornal Nexo.
Para Worcman, as narrativas do acervo podem fazer o público do museu não só conhecer a vida de outras pessoas mas também “aprender sobre o mundo e a sociedade com o olhar do outro”. Abertas a outros pontos de vista, as pessoas transformam seu modo de ver o mundo e criam uma sociedade mais justa e igualitária.
(Mariana Vick, Nexo Jornal, 29 de junho de 2020. Adaptado)
Bechara (2019) define as conjunções coordenativas como aquelas que “reúnem orações que pertencem ao mesmo nível sintático”. Nesse sentido, é correto afirmar que a alternativa em que a conjunção coordenativa aparece em destaque é:
Provas
Questão presente nas seguintes provas
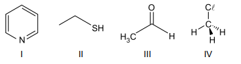
Considere as substâncias I, II, III e IV cujas fórmulas estruturais são representadas nas figuras.

Formam interações intermoleculares do tipo ligação de hidrogênio com a água as substâncias
Provas
Questão presente nas seguintes provas
Qual é o papel de um museu que conta histórias de vida?
O Museu da Pessoa foi criado em 1991 com o objetivo de registrar e preservar histórias de vida de todo e qualquer indivíduo. A ideia é valorizar essas memórias e torná-las uma fonte de compreensão, conhecimento e conexão entre as pessoas, dos narradores aos visitantes que a instituição atrai.
O Museu da Pessoa é colaborativo, ou seja, qualquer pessoa pode se voluntariar para contar sua história. Todas as pessoas que se dispõem a falar são entrevistadas por colaboradores da instituição, que durante longas conversas buscam estimular os participantes a lembrar os detalhes de sua trajetória. É possível encontrar nos arquivos histórias de professores, poetas, comerciantes e trabalhadores rurais, de variadas idades e regiões do país.
A curadora e fundadora do Museu da Pessoa, Karen Worcman, teve a ideia de criar a instituição no fim dos anos 1980, quando participou de um projeto de entrevistas com imigrantes no Rio e percebeu que os depoimentos ouvidos ajudavam a contar a história mais ampla do país. Mais de 25 anos depois da fundação do museu, Worcman pensa o mesmo. “A história de cada pessoa é uma perspectiva única sobre a história comum que todos nós vivemos como sociedade”, disse a curadora ao jornal Nexo.
Para Worcman, as narrativas do acervo podem fazer o público do museu não só conhecer a vida de outras pessoas mas também “aprender sobre o mundo e a sociedade com o olhar do outro”. Abertas a outros pontos de vista, as pessoas transformam seu modo de ver o mundo e criam uma sociedade mais justa e igualitária.
(Mariana Vick, Nexo Jornal, 29 de junho de 2020. Adaptado)
Considere os enunciados:
- O Museu da Pessoa possibilita qualquer indivíduo o registro de suas memórias.
- Devido entrevistas realizadas por colaboradores da instituição, é possível encontrar histórias de muitas pessoas, de variadas idades e regiões do país.
- A instituição qual Karen Worcman estava vinculada realizava entrevistas com imigrantes no Rio de Janeiro.
Em conformidade com as considerações de Almeida (2006), no Dicionário de questões vernáculas, sobre o emprego do acento indicativo de crase, as lacunas dos enunciados devem ser preenchidas, respectivamente, com:
Provas
Questão presente nas seguintes provas
Cadernos
Caderno Container