Foram encontradas 895 questões.
O controle da documentação de um sistema de gestão da qualidade visa assegurar que essa documentação:
I – esteja disponível e adequada para o uso, onde e quando ela for necessária.
II – seja protegida contra uso impróprio ou perda da integridade.
III – tenha identificação, descrição e formato adequados à organização.
IV – só esteja disponível após uma análise crítica e aprovação quanto à adequação e suficiência.
Sobre as afirmativas acima pode-se dizer que:
Provas
A norma ABNT NBR ISO/IEC 17025:2005 Requisitos gerais para a competência de laboratórios de ensaio e calibração - estabelece a obrigatoriedade da existência de procedimentos, EXCETO para o requisito:
Provas
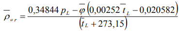
O modelo matemático a seguir é usado para estimar a massa especifica do ar atmosférico.

Onde:
!$ \overline{\rho}_{ar}\ \ !$ : Média da massa específica do ar em kg.m-3
!$ p_L !$ : Média da pressão atmosférica em hPa
!$ \overline{\varphi\ } !$ : Média da umidade relativa em %
!$ \overline{t}_L !$ : Média da temperatura ambiente em °C
São variáveis independentes.
O modelo matemático citado possui:
Provas
A norma ABNT NBR ISO 10012:2004 Sistemas de gestão de medição - Requisitos para os processos de medição e equipamentos de medição - indica que um sistema de gestão de medição eficaz assegura:
I - que equipamentos e processos de medição são adequados para o uso pretendido.
II – ausência de critérios de desempenho e procedimentos para os processos de medição.
III - o gerenciamento dos riscos de uma medição incorreta para evitar que afetem a qualidade dos produtos.
IV – que a organização não precisa se preocupar com a especificação dos processos e dos instrumentos de medição.
Sobre as afirmativas acima, pode-se dizer que:
Provas
A distribuição estatística aplicável ao intervalo de confi ança para pequenas amostras é:
Provas
Os símbolos que representam corretamente as unidades derivadas no Sistema Internacional, para as grandezas tensão elétrica, potência e velocidade, respectivamente, são:
Provas
Os símbolos que representam corretamente as unidades de base no Sistema Internacional, para as grandezas comprimento, tempo e temperatura, respectivamente, são:
Provas
Foram realizadas três medições com um resistor padrão em um multímetro digital. Os resultados encontrados foram: 245,4 Ω; 245,6 Ω e 245,8 Ω. Adote a resolução do multímetro digital como 0,1 Ω, o valor do resistor padrão igual a 245,68 Ω.
Com base nessas informações pode-se afirmar que a tendência do multímetro digital, sua incerteza tipo A (repetitividade) e a incerteza tipo B da resolução do multímetro digital são, respectivamente:
Provas
Um Material de Referência Certifi cado (MRC) cujo valor é (0,1000 ± 0,0002) g/cm3 , foi medido com dois densímetros, sob as mesmas condições. Com base nos resultados a seguir podemos afi rmar que o densímetro:
DENSÍMETRO A (g/cm3 ) | DENSÍMETRO B (g/cm3 ) |
0,1017 | 0,1015 |
0,1018 | 0,1015 |
0,1019 | 0,1015 |
Provas
Considere a calibração de uma balança cuja resolução é 0,1 g. Nesse processo, para realizar a calibração utilizou-se uma massa padrão, com valor nominal de 30 g, cuja correção de certificado é 0,005 g. Foram feitas nove medições com a massa padrão, obtendo-se média igual 30,2 g. O valor verdadeiro convencional da massa padrão e a correção que se deve aplicar à balança no ponto 30 g, respectivamente, são:
Provas
Caderno Container