Foram encontradas 198 questões.
Na verificação do atendimento dos limites para despesa com pessoal definidos no Art. 19 da Lei de Responsabilidade Fiscal (Lei Complementar n° 101 de 04 de maio de 2000), não serão computadas as despesas:
Provas
Questão presente nas seguintes provas
Conforme determinado na Lei de Responsabilidade Fiscal, o
documento que, obrigatoriamente, deve ser elaborado anualmente
pelo Poder Executivo dos entes federativos, estabelecendo as previsões
para receitas e despesas, o resultado nominal e o resultado
primário, além do montante da dívida pública, para o exercício a
que refere e para os dois subsequentes, é aquele denominado:
Provas
Questão presente nas seguintes provas
Na classificação das despesas por categoria econômica, é possível defini-las como despesas:
Provas
Questão presente nas seguintes provas
Nos termos da Lei nº 4.320/64, são despesas de capital classificadas como investimentos:
Provas
Questão presente nas seguintes provas
É uma norma a ser observada no processo de elaboração do orçamento anual:
Provas
Questão presente nas seguintes provas
228249
Ano: 2014
Disciplina: Administração Financeira e Orçamentária
Banca: CEPERJ
Orgão: FSC-RJ
Disciplina: Administração Financeira e Orçamentária
Banca: CEPERJ
Orgão: FSC-RJ
Provas:
De acordo com a classificação da despesa pública, quanto à
estrutura programática, o instrumento de programação envolvendo
um conjunto de operações limitadas no tempo que concorre para a
expansão ou aperfeiçoamento da ação do governo denomina-se:
Provas
Questão presente nas seguintes provas
228248
Ano: 2014
Disciplina: Administração Financeira e Orçamentária
Banca: CEPERJ
Orgão: FSC-RJ
Disciplina: Administração Financeira e Orçamentária
Banca: CEPERJ
Orgão: FSC-RJ
Provas:
Uma despesa autorizada na Lei Orçamentária Anual de um
determinado ente governamental foi executada e classificada,
quanto à natureza, pelo seguinte código e especificação: 3.4.90.30-
MATERIAL DE CONSUMO. Nesta identificação, o primeiro dígito
representado pelo algarismo 3, o terceiro e o quarto dígitos pelo
número 90, indicam respectivamente, pelas normas vigentes:
Provas
Questão presente nas seguintes provas
O tipo de crédito adicional utilizado para atender despesas urgentes e imprevisíveis é o:
Provas
Questão presente nas seguintes provas
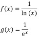
Observe as funções apresentadas a seguir:

Considerando as funções f e g dadas, f (g(-1)) é igual a:

Considerando as funções f e g dadas, f (g(-1)) é igual a:
Provas
Questão presente nas seguintes provas
Observe o desenho a seguir, que mostra dois triângulos retângulos semelhantes ABD e ACE.

Sabendo-se que os comprimentos dos segmentos
valem respectivamente 4, 3 e 3, o comprimento do segmento valem respectivamente 4, 3 e 3, o comprimento do segmento
vale:Provas
Questão presente nas seguintes provas
Cadernos
Caderno Container