Foram encontradas 50 questões.
- AmostragemTipos de AmostragemAmostragem por Estratificação
- Estatística DescritivaMedidas de Dispersão
Com relação às técnicas de amostragem de populações finitas,
julgue os seguintes itens.
Na amostragem estratificada, a alocação de Neyman consiste em um critério que permite obter os tamanhos amostrais dos estratos a partir da minimização da variância do estimador da média.julgue os seguintes itens.
Provas
Questão presente nas seguintes provas
Com relação às técnicas de amostragem de populações finitas,
julgue os seguintes itens.
As amostragens aleatórias simples, sistemática, estratificada e por cotas representam planos de amostragem probabilísticos.julgue os seguintes itens.
Provas
Questão presente nas seguintes provas
Julgue os itens subsecutivos, referentes ao método de componentes
principais.
A técnica de componentes principais pode ser utilizada para se diagnosticar multicolinearidade em problemas de regressão linear.principais.
Provas
Questão presente nas seguintes provas
Julgue os itens subsecutivos, referentes ao método de componentes
principais.
O primeiro componente principal associa-se à combinação linear com variância mínima.principais.
Provas
Questão presente nas seguintes provas
Considerando um vetor aleatório
julgue o item que se segue.

julgue o item que se segue.
Provas
Questão presente nas seguintes provas
A partir do modelo linear clássico em forma matricial y = Xb + 
denotando-se por e = y -
o vetor de resíduos do modelo
estimado por mínimos quadrados ordinários, julgue os seguintes
itens.
O problema de mínimos quadrados ordinários é resolvido pela solução do sistema X'Xb = X'y.
denotando-se por e = y -
o vetor de resíduos do modelo estimado por mínimos quadrados ordinários, julgue os seguintes
itens.
Provas
Questão presente nas seguintes provas
Em um estudo clínico utilizou-se um modelo de regressão logística
em que y é a variável resposta, como preditor linear, a expressão
a + bx + cz, em que x = 0 para o grupo placebo e x = 1 para o grupo
de tratamento; z é uma medida de colesterol (em escala de 0 a 5)
antes do início do tratamento. Com base nessas informações, julgue
os itens subsequentes
Considerando-se exp(c) = 0,7, se x se mantiver constante, então o aumento em uma unidade na medida de colesterol implicará em redução de 30% na chance de sucesso (y = 1).em que y é a variável resposta, como preditor linear, a expressão
a + bx + cz, em que x = 0 para o grupo placebo e x = 1 para o grupo
de tratamento; z é uma medida de colesterol (em escala de 0 a 5)
antes do início do tratamento. Com base nessas informações, julgue
os itens subsequentes
Provas
Questão presente nas seguintes provas
Em um estudo clínico utilizou-se um modelo de regressão logística
em que y é a variável resposta, como preditor linear, a expressão
a + bx + cz, em que x = 0 para o grupo placebo e x = 1 para o grupo
de tratamento; z é uma medida de colesterol (em escala de 0 a 5)
antes do início do tratamento. Com base nessas informações, julgue
os itens subsequentes
A variável resposta y é binária.em que y é a variável resposta, como preditor linear, a expressão
a + bx + cz, em que x = 0 para o grupo placebo e x = 1 para o grupo
de tratamento; z é uma medida de colesterol (em escala de 0 a 5)
antes do início do tratamento. Com base nessas informações, julgue
os itens subsequentes
Provas
Questão presente nas seguintes provas

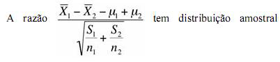
Com base nessas informações, julgue os seguintes itens.

desconhecida que, na prática, é aproximada por uma distribuição t de Student com graus de liberdade que dependem dos dados.
Provas
Questão presente nas seguintes provas

Com base nessas informações, julgue os seguintes itens.

Provas
Questão presente nas seguintes provas
Cadernos
Caderno Container