Foram encontradas 50 questões.

Considere que a amônia (NH3), largamente empregada como gás refrigerante, em razão de seu elevado calor de vaporização, pode ser obtida a partir da reação 3H2(g) + N2(g) 2NH3(g). Considere, ainda, a tabela acima, em que constam as entalpias de ligação, a 25 ºC, das ligações rompidas ou formadas durante a reação em questão. Com base no conjunto de informações apresentado, julgue os itens que se seguem.
A reação de formação da amônia, a partir de H2(g) e N2(g), libera mais calor quando processada a volume constante, comparando-se quando processada a pressão constante.
Provas
Questão presente nas seguintes provas
- FundamentosPropriedades das Substâncias
- Química InorgânicaGeometria Molecular, Polaridade e Forças Intermoleculares
- Transformações Químicas e EnergiaTermoquímica


A geometria planar da molécula de amônia é responsável pelo seu elevado calor de vaporização.
Provas
Questão presente nas seguintes provas



Provas
Questão presente nas seguintes provas

Considerando as informações acima e que todos os gases envolvidos sejam ideais, julgue os itens a seguir.
A capacidade calorífica molar, a volume constante, do

, é maior que
.Provas
Questão presente nas seguintes provas

Considerando as informações acima e que todos os gases envolvidos sejam ideais, julgue os itens a seguir.
Na equação abaixo, se expressa, corretamente, a quantidade de calor (q) necessária para elevar, a pressão constante, a temperatura de um mol de
de 298 K até uma temperatura
Provas
Questão presente nas seguintes provas

Considerando que, sob pressões elevadas, os gases deixam de apresentar comportamento ideal, e que a figura acima apresenta as curvas do coeficiente de compressibilidade (Z) para o
em duas temperaturas distintas (T e T’), julgue os itens subsequentes.temperatura T’ e à pressão de 200 atm, o
apresenta volume molar maior que o previsto pela lei dos gases ideais.Provas
Questão presente nas seguintes provas

Com relação à reação em apreço e considerando-se condições em que a lei de velocidade acima apresentada é, de fato, obedecida, julgue os itens seguintes.
A construção de um gráfico de ln
, em função de t, resulta em uma linha reta.Provas
Questão presente nas seguintes provas

Com relação à reação em apreço e considerando-se condições em que a lei de velocidade acima apresentada é, de fato, obedecida, julgue os itens seguintes.
A reação acima é elementar, ou seja, processa-se em uma única etapa.
Provas
Questão presente nas seguintes provas

Com relação à reação em apreço e considerando-se condições em que a lei de velocidade acima apresentada é, de fato, obedecida, julgue os itens seguintes.
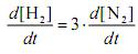
Para a reação apresentada,
.Provas
Questão presente nas seguintes provas
- Química CinéticaTransformações Químicas
- Química OrgânicaTipos de Reagentes e Mecanismos das Reações Orgânicas

A amônia serve como substrato para a síntese de um grande número de substâncias, como aminas e amidas. Merece destaque a ureia, que é largamente empregada como fertilizante e cuja estrutura é apresentada na figura 1. Na figura 2, são apresentados os espectros de infravermelho de duas outras substâncias que podem ser sintetizadas a partir da amônia: a propanamida e a trietilamina, sendo que os espectros não estão apresentados, necessariamente, nessa ordem. Com relação aos derivados da amônia citados e aos espectros apresentados, julgue os itens que se seguem.
A reação da amônia com a propanona resulta na formação da etanamida.
Provas
Questão presente nas seguintes provas
Cadernos
Caderno Container