Foram encontradas 956 questões.

Com base nessas informações, julgue os seguintes itens.

desconhecida que, na prática, é aproximada por uma distribuição t de Student com graus de liberdade que dependem dos dados.
Provas
Questão presente nas seguintes provas

Com base nessas informações, julgue os seguintes itens.

Provas
Questão presente nas seguintes provas
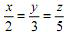
Julgue os itens que se seguem, relativos a proporções.
Na proporção
, sabe-se que
. Nesse caso, é correto afirmar que
.Provas
Questão presente nas seguintes provas



A ideia de que a estrutura imprecisa da Web advém da maneira como os seres humanos organizam a mente, e não o oposto, está conforme ao que defende Daniel Cabrera. (L.41-44)
Provas
Questão presente nas seguintes provas

Julgue o item a seguir, que constituem trechos reescritos do texto, no que se refere à correção gramatical e à manutenção das ideias originais.
A ideia de que a estrutura imprecisa da Web advém da maneira como os seres humanos organizam a mente, e não o oposto, está conforme ao que defende Daniel Cabrera. (L.41-44)
Provas
Questão presente nas seguintes provas


Julgue os itens a seguir, que constituem trechos reescritos do texto,
no que se refere à correção gramatical e à manutenção das ideias
originais.
Provas
Questão presente nas seguintes provas
Cadernos
Caderno Container