Foram encontradas 767 questões.

A tabela precedente mostra um trecho de uma tábua de comutações, em que x é a idade, Dx e Nx são funções de sobrevivência e Cx e Mx são funções de morte; a taxa de desconto atuarial é fixada.
A partir dessas informações, julgue os itens que se seguem, a respeito do cálculo de provisões de um fundo de previdência.
Caso uma pessoa de 60 anos de idade deseje resgatar um benefício vitalício de R$ 30.000,00 por ano, a reserva matemática a ser mantida pelo fundo, calculada pelo método prospectivo, será de R$ 300.000,00.
Provas

A tabela precedente mostra um trecho de uma tábua de comutações, em que x é a idade, Dx e Nx são funções de sobrevivência e Cx e Mx são funções de morte; a taxa de desconto atuarial é fixada.
A partir dessas informações, julgue os itens que se seguem, a respeito do cálculo de provisões de um fundo de previdência.
Se uma pessoa de 60 anos de idade tiver contratado um seguro de vida no valor de R$ 50.000,00 a ser pago em qualquer momento, então, assim que essa pessoa atingir os 70 anos de idade, sua reserva matemática será superior a R$ 8.000,00.
Provas
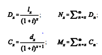
As tábuas de comutação de determinada coorte são formuladas essencialmente pelas funções lx = número de sobreviventes com x anos de idade e dx = número de pessoas com x anos de idade que morrerão antes de atingir a idade x + 1, provenientes das tábuas de mortalidade e pelo fator de descapitalização
baseado em uma taxa de juros i. Dois pares de funções importantes compõem essas tábuas: Dx e Nx — funções de sobrevivência —, e Cx e Mx — funções de morte. Essas funções possuem as seguintes expressões, em que ω é a idade terminal:

Considere uma coorte de 100.000 nascidos que, à taxa de juros de 6% ao ano, tenha uma tábua de comutações cuja linha para a idade x = 35 anos seja a seguinte.

Com base nas informações apresentadas, julgue o item que se segue.
Ao fazer um seguro de vida no valor de R$ 200.000,00, um indivíduo com 35 anos de idade pagará como prêmio único um valor inferior a R$ 12.500,00.
Provas
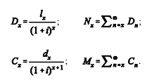
As tábuas de comutação de determinada coorte são
formuladas essencialmente pelas funções lx = número de
sobreviventes com x anos de idade e dx = número de pessoas
com x anos de idade que morrerão antes de atingir a idade x + 1,
provenientes das tábuas de mortalidade e pelo fator de
descapitalização
baseado em uma taxa de juros i.
Dois pares de funções importantes compõem essas tábuas: Dx e Nx
— funções de sobrevivência —, e Cx e Mx — funções de morte.
Essas funções possuem as seguintes expressões, em que ω é a idade
terminal:

Considere uma coorte de 100.000 nascidos que, à taxa de juros de 6% ao ano, tenha uma tábua de comutações cuja linha para a idade x = 35 anos seja a seguinte.

Com base nas informações apresentadas, julgue o item que se segue
Se uma pessoa de 35 anos de idade fizer um seguro de vida no valor de R$ 200.000,00, o prêmio anual vitalício que ela deverá pagar será inferior a R$ 2.000,00.
Provas

A tabela precedente mostra uma tábua de mortalidade para uma coorte de 100.000 pessoas; lx indica a quantidade de pessoas vivas com x anos de idade.
A partir das informações apresentadas na tabela, julgue o item seguinte.
A probabilidade de uma pessoa com 2 anos de idade viver até os 90 anos é inferior a 20%.
Provas

A tabela precedente mostra uma tábua de mortalidade para uma coorte de 100.000 pessoas; lx indica a quantidade de pessoas vivas com x anos de idade.
A partir das informações apresentadas na tabela, julgue o item seguinte.
A expectativa completa de vida de uma pessoa com 90 anos de idade é maior que 5 anos.
Provas
A respeito de planos com múltiplos decrementos, julgue o item a seguir, considerando que a primeira saída de um desses planos é definitiva, isto é, se a pessoa sucumbir a um evento, ela sairá definitivamente do plano.
Considere que I seja um evento que cause decremento e que a probabilidade de ocorrência desse evento durante o ano, para uma pessoa com idade x, seja qxI . Nesse caso, a probabilidade de que essa pessoa passe o ano sem sucumbir a nenhum outro evento que cause decremento será igual a 1 - (qxI )2 .
Provas
A respeito de planos com múltiplos decrementos, julgue o item a seguir, considerando que a primeira saída de um desses planos é definitiva, isto é, se a pessoa sucumbir a um evento, ela sairá definitivamente do plano.
Considere que I e II sejam eventos que causem decrementos e que as probabilidades de ocorrência dos eventos I e II durante o ano, para uma pessoa com idade x, sejam, respectivamente, qxI e qxII. Nesse caso, a probabilidade de a pessoa sucumbir durante o ano por ocorrência de um desses eventos será igual a qxI + qxII - qxI × qxII.
Provas
A respeito de planos com múltiplos decrementos, julgue o item a seguir, considerando que a primeira saída de um desses planos é definitiva, isto é, se a pessoa sucumbir a um evento, ela sairá definitivamente do plano.
Um seguro que tenha cobertura para morte e para invalidez e pague um benefício único quando um desses eventos ocorre é um seguro com múltiplos decrementos.
Provas
A respeito de improvement de tábuas biométricas, julgue o seguinte item.
Para determinar a evolução das tábuas biométricas com base em informações do passado, pode-se utilizar o improvement, procedimento que aplica multiplicadores anuais às taxas de mortalidade e projeta, ano a ano, a evolução das tábuas passadas para as seguintes por meio de uma progressão geométrica.
Provas
Caderno Container