Foram encontradas 70 questões.
A figura a seguir apresenta a tabela verdade de duas portas lógicas.

As portas lógicas 1 e 2 são, respectivamente,
Provas
Um sistema de iluminação de potência de 3300 VA encontra-se em um local com padrão de tensão 220/127 V. A sua alimentação se dá por meio de um circuito bifásico de 22 metros de comprimento.
| Seção Nominal (mm2) | Eletroduto não magnético | |
| Circuito monofásico | Circuito trifásico | |
| 1,5 | 27,5 | 24 |
| 2,5 | 16,5 | 14,5 |
| 4,0 | 10,5 | 9,15 |
| 6,0 | 7,0 | 6,15 |
| 10,0 | 4,25 | 3,70 |
Considerando que a tabela acima apresenta as quedas de tensão em V/A.km e que a máxima queda permitida a esse circuito é de 3 %, a seção mínima do condutor desse circuito deve ser de
Provas
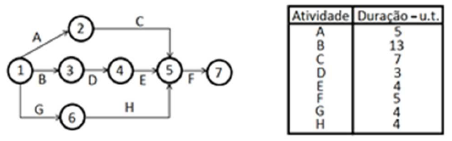
A figura a seguir apresenta um diagrama de rede PERT-CPM do planejamento de um projeto e sua respectiva tabela de tempos das atividades em unidades de tempo – ut.

O tempo de execução desse projeto é
Provas
Para a estimativa do tempo médio de execução de uma atividade qualquer de uma obra são considerados os tempos otimista, pessimista e mais provável.
A atividade que possua esses tempos iguais a, respectivamente, 15, 50 e 25 unidades de tempo, tem, como tempo médio de execução,
Provas
O sistema trifásico, em que a diferença de potencial em cada umas das cargas monofásicas que compõem a carga trifásica é dada pelo somatório do valor da tensão de fase da fonte com a tensão de deslocamento de neutro diferente de zero, é
Provas
Um motor de indução de 6 polos e escorregamento de 0,20 foi projetado para operar na frequência de rotor igual a 1200 rpm.
A frequência da fonte para a alimentação desse motor é
Provas
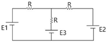
A figura a seguir apresenta um circuito composto por três resistores iguais a R e três fontes contínuas E1, E2, e E3.

Dados:
E1 = 10 V
E2 = 20 V
R = !$ 10 \ \Omega !$
O valor de E3 para que a corrente elétrica no ramo central do circuito seja igual a zero é
Provas
A proteção diferencial longitudinal é recomendada para motores acima de 1 MVA.
Essa proteção atua na ocorrência de falta entre
Provas
A potência de curto-circuito na entrada de uma subestação industrial, que possui um transformador de potência de 300 kVA, é de 150 kVA. Considerando que a tensão de base é igual à tensão de entrada do transformador e que a potência de base é igual à potência do transformador, a reatância reduzida do sistema, em pu, é igual a
Provas
A figura abaixo apresenta um circuito composto por um resistor R de !$ 40 \ \Omega !$, uma reatância capacitiva XC em paralelo com um elemento passivo puro P, alimentados por uma fonte senoidal de 250 V eficazes, fazendo com que flua uma corrente elétrica pelo resistor de 5 A.

O módulo e o ângulo da associação de Xc e P e a característica de P são, respectivamente,
Provas
Caderno Container