Foram encontradas 20 questões.
Um estudante de Química da FURB está desenvolvendo seu projeto de pesquisa para seu Trabalho de
Conclusão de Curso (TCC), em que pretende confeccionar nanopartículas poliméricas carregadas com um
fármaco. Para determinar a eficiência de encapsulação do sistema formado, é necessária a utilização de uma
técnica analítica como cromatografia líquida de alta eficiência (HPLC). A respeito dessa técnica, afirma-se:
I- Dois tipos de eluição são empregados: isocrática (um único solvente) e gradiente (mistura de dois solventes). II- As colunas mais utilizadas na separação de compostos orgânicos são do tipo fase reversa com base de sílica com grupos C18 e C8. III- A fase móvel utilizada em HPLC são solventes de alto grau de pureza, como acetonitrila, hexano, metanol, água, entre outros.
É correto o que se afirma em:
I- Dois tipos de eluição são empregados: isocrática (um único solvente) e gradiente (mistura de dois solventes). II- As colunas mais utilizadas na separação de compostos orgânicos são do tipo fase reversa com base de sílica com grupos C18 e C8. III- A fase móvel utilizada em HPLC são solventes de alto grau de pureza, como acetonitrila, hexano, metanol, água, entre outros.
É correto o que se afirma em:
Provas
Questão presente nas seguintes provas
Uma análise para quantificação de um determinado composto, via HPLC, possui um programa de análise com
duração de 2 horas e 18 minutos e opera a um fluxo de fase móvel de 60 mL h-1
. Isso posto, o volume total da
fase móvel utilizada em uma análise será:
Provas
Questão presente nas seguintes provas
A espectrometria de massas é uma técnica que pode ser utilizada de maneira quantitativa e qualitativa, na
identificação e quantificação de moléculas e elucidação de estruturas. Isso posto, identifique as afirmativas
corretas:
I- A técnica permite a quantificação de qualquer estrutura química, mesmo que não ocorra a formação de íons. II- Comumente os espectrômetros de massas são encontrados acoplados a um cromatógrafo líquido ou gasoso. III- A resolução na espectrometria de massa é definida como a capacidade de produzir dois sinais distintos para dois íons de massa atômica similar.
É correto o que se afirma em:
I- A técnica permite a quantificação de qualquer estrutura química, mesmo que não ocorra a formação de íons. II- Comumente os espectrômetros de massas são encontrados acoplados a um cromatógrafo líquido ou gasoso. III- A resolução na espectrometria de massa é definida como a capacidade de produzir dois sinais distintos para dois íons de massa atômica similar.
É correto o que se afirma em:
Provas
Questão presente nas seguintes provas
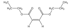
Durante o desenvolvimento de projetos de pesquisa na área de química, são necessárias habilidades e
conhecimentos em síntese e análise orgânica. A síntese do dipropil maleato (Figura) forma um produto oleoso
de odor forte que pode ser analisado pela técnica de ressonância nuclear magnética:

Figura - Estrutura química do dipropil maleato
A respeito da síntese e análise do dipropil maleato, assinale a alternativa correta:

Figura - Estrutura química do dipropil maleato
A respeito da síntese e análise do dipropil maleato, assinale a alternativa correta:
Provas
Questão presente nas seguintes provas
O texto abaixo se refere à questão a seguir:
Pela primeira vez em 56 anos de história, a Universidade Regional de Blumenau (FURB) realizou uma cerimônia virtual de colação de grau. A formatura da 40ª turma de Medicina foi antecipada com base em Decreto Federal e assim os novos médicos já estão habilitados para fortalecer as equipes profissionais de saúde, em meio à pandemia do coronavírus.
A sessão solene presidida pela reitora Marcia Sardá Espindola começou às 14 horas e contou com mais de 400 pessoas entre formandos, professores, familiares e servidores da FURB, acompanhando ao vivo a formatura on-line inédita, que durou cerca de uma hora, sem contar milhares de seguidores dos formandos que seguiam a transmissão em seus perfis pessoais. Um alcance recorde de plateia em formatura na Universidade. [...]
A cerimônia virtual aberta aos convidados dos formandos foi realizada por meio de plataforma virtual da própria FURB e teve os momentos de emoção e brilho que uma formatura merece, graças ao trabalho conjunto entre Coordenadoria de Comunicação e Marketing (CCM), Divisão de Tecnologia da Informação (DTI) e FURB TV. [...]
Disponível em http://www.furb.br/web/1704/noticias/classificacao/5/ eventos/formatura-virtual-de-medicina-entra-para-a-historia-da-furb/8239 Acesso em: 20/maio/2020.[adaptado]
( ) Em “...sem contar milhares de seguidores dos formandos...”, a palavra “milhares” é um numeral masculino que está indicando a quantidade exata que é correspondente a dez centenas ou mil unidades. ( ) Em “A sessão solene presidida...”, a palavra “sessão” é um exemplo de palavra homônima, que tem como significados “partes de obra literária e de artigo científico, repartições públicas, setores de instituições privadas, subdivisões de um estabelecimento comercial, entre outros.”. ( ) Em “...em seus perfis pessoais.”, a palavra, no singular, é “perfil”, portanto um substantivo masculino terminado em il, cujo plural se faz mudando o “l” em “s”.
Assinale a alternativa com a sequência correta:
Provas
Questão presente nas seguintes provas
O texto abaixo se refere à questão a seguir:
Pela primeira vez em 56 anos de história, a Universidade Regional de Blumenau (FURB) realizou uma cerimônia virtual de colação de grau. A formatura da 40ª turma de Medicina foi antecipada com base em Decreto Federal e assim os novos médicos já estão habilitados para fortalecer as equipes profissionais de saúde, em meio à pandemia do coronavírus.
A sessão solene presidida pela reitora Marcia Sardá Espindola começou às 14 horas e contou com mais de 400 pessoas entre formandos, professores, familiares e servidores da FURB, acompanhando ao vivo a formatura on-line inédita, que durou cerca de uma hora, sem contar milhares de seguidores dos formandos que seguiam a transmissão em seus perfis pessoais. Um alcance recorde de plateia em formatura na Universidade. [...]
A cerimônia virtual aberta aos convidados dos formandos foi realizada por meio de plataforma virtual da própria FURB e teve os momentos de emoção e brilho que uma formatura merece, graças ao trabalho conjunto entre Coordenadoria de Comunicação e Marketing (CCM), Divisão de Tecnologia da Informação (DTI) e FURB TV. [...]
Disponível em http://www.furb.br/web/1704/noticias/classificacao/5/ eventos/formatura-virtual-de-medicina-entra-para-a-historia-da-furb/8239 Acesso em: 20/maio/2020.[adaptado]
Provas
Questão presente nas seguintes provas
O texto abaixo se refere à questão a seguir:
Pela primeira vez em 56 anos de história, a Universidade Regional de Blumenau (FURB) realizou uma cerimônia virtual de colação de grau. A formatura da 40ª turma de Medicina foi antecipada com base em Decreto Federal e assim os novos médicos já estão habilitados para fortalecer as equipes profissionais de saúde, em meio à pandemia do coronavírus.
A sessão solene presidida pela reitora Marcia Sardá Espindola começou às 14 horas e contou com mais de 400 pessoas entre formandos, professores, familiares e servidores da FURB, acompanhando ao vivo a formatura on-line inédita, que durou cerca de uma hora, sem contar milhares de seguidores dos formandos que seguiam a transmissão em seus perfis pessoais. Um alcance recorde de plateia em formatura na Universidade. [...]
A cerimônia virtual aberta aos convidados dos formandos foi realizada por meio de plataforma virtual da própria FURB e teve os momentos de emoção e brilho que uma formatura merece, graças ao trabalho conjunto entre Coordenadoria de Comunicação e Marketing (CCM), Divisão de Tecnologia da Informação (DTI) e FURB TV. [...]
Disponível em http://www.furb.br/web/1704/noticias/classificacao/5/ eventos/formatura-virtual-de-medicina-entra-para-a-historia-da-furb/8239 Acesso em: 20/maio/2020.[adaptado]
É correto o que se afirma em:
Provas
Questão presente nas seguintes provas
- MorfologiaVerbosConjugaçãoFlexão Verbal de Modo
- MorfologiaVerbosConjugaçãoFlexão Verbal de Número
- MorfologiaVerbosConjugaçãoFlexão Verbal de Tempo
- MorfologiaVerbosFormas Nominais
O texto abaixo se refere à questão a seguir:
Pela primeira vez em 56 anos de história, a Universidade Regional de Blumenau (FURB) realizou uma cerimônia virtual de colação de grau. A formatura da 40ª turma de Medicina foi antecipada com base em Decreto Federal e assim os novos médicos já estão habilitados para fortalecer as equipes profissionais de saúde, em meio à pandemia do coronavírus.
A sessão solene presidida pela reitora Marcia Sardá Espindola começou às 14 horas e contou com mais de 400 pessoas entre formandos, professores, familiares e servidores da FURB, acompanhando ao vivo a formatura on-line inédita, que durou cerca de uma hora, sem contar milhares de seguidores dos formandos que seguiam a transmissão em seus perfis pessoais. Um alcance recorde de plateia em formatura na Universidade. [...]
A cerimônia virtual aberta aos convidados dos formandos foi realizada por meio de plataforma virtual da própria FURB e teve os momentos de emoção e brilho que uma formatura merece, graças ao trabalho conjunto entre Coordenadoria de Comunicação e Marketing (CCM), Divisão de Tecnologia da Informação (DTI) e FURB TV. [...]
Disponível em http://www.furb.br/web/1704/noticias/classificacao/5/ eventos/formatura-virtual-de-medicina-entra-para-a-historia-da-furb/8239 Acesso em: 20/maio/2020.[adaptado]
I- O verbo “IR” está conjugado na terceira pessoa do singular do pretérito perfeito do indicativo: “foi”. II- São exemplos de verbos irregulares utilizados na notícia: “ESTAR”, “SER”, “TER”. III- “Aberta”, um exemplo de verbo abundante, é o particípio passado regular do verbo “ABRIR”.
É correto o que se afirma em:
Provas
Questão presente nas seguintes provas
O texto abaixo se refere à questão a seguir:
Pela primeira vez em 56 anos de história, a Universidade Regional de Blumenau (FURB) realizou uma cerimônia virtual de colação de grau. A formatura da 40ª turma de Medicina foi antecipada com base em Decreto Federal e assim os novos médicos já estão habilitados para fortalecer as equipes profissionais de saúde, em meio à pandemia do coronavírus.
A sessão solene presidida pela reitora Marcia Sardá Espindola começou às 14 horas e contou com mais de 400 pessoas entre formandos, professores, familiares e servidores da FURB, acompanhando ao vivo a formatura on-line inédita, que durou cerca de uma hora, sem contar milhares de seguidores dos formandos que seguiam a transmissão em seus perfis pessoais. Um alcance recorde de plateia em formatura na Universidade. [...]
A cerimônia virtual aberta aos convidados dos formandos foi realizada por meio de plataforma virtual da própria FURB e teve os momentos de emoção e brilho que uma formatura merece, graças ao trabalho conjunto entre Coordenadoria de Comunicação e Marketing (CCM), Divisão de Tecnologia da Informação (DTI) e FURB TV. [...]
Disponível em http://www.furb.br/web/1704/noticias/classificacao/5/ eventos/formatura-virtual-de-medicina-entra-para-a-historia-da-furb/8239 Acesso em: 20/maio/2020.[adaptado]
Provas
Questão presente nas seguintes provas
O diagrama do orbital molecular do óxido de nitrogênio é confeccionado na seguinte ordem de distribuição dos orbitais moleculares: (σ1s, σ*1s, σ2s, σ*2s, σ2pz, π2px, π2py, π*2px, π*2py, σ*2pz
Com base no diagrama da molécula de óxido de nitrogênio, é correto afirmar que:
Provas
Questão presente nas seguintes provas
Cadernos
Caderno Container