Foram encontradas 639 questões.
A respeito de uma determinada tecnologia de comunicação móvel, analise as características a seguir.
\( \bullet \) Apesar de ser, tecnicamente, uma tecnologia de 3ª geração, muitos a classificam como um padrão 2,75G, por ser uma melhoria de redes 2,5G e não um novo sistema propriamente dito.
\( \bullet \) Melhorou o desempenho da transferência de dados por pacotes, com velocidade máxima teórica de 473,6 kb/s.
\( \bullet \) Abriu espaço para o streaming, uma aplicação até então praticamente inédita no acesso móvel à Internet.
As características apresentadas referem-se à tecnologia
Provas
Considerando o modelo OSI para redes de dados, a camada responsável por realizar transformações adequadas nos dados, tais como criptografia, conversão entre caracteres ASCII e EBCDIC, compressão e descompressão é a camada
Provas
Disciplina: TI - Organização e Arquitetura dos Computadores
Banca: FGV
Orgão: Hemocentro-SP
A figura a seguir mostra o circuito de uma célula de memória.

A respeito da célula de memória mostrada na figura, analise as afirmativas a seguir.
I. Trata-se de uma célula de memória dinâmica.
II. A célula possibilita o acesso tanto ao bit armazenado, como ao seu complementar.
III. Esse tipo de célula armazena bem o nível lógico “1”, mas é ineficiente no armazenamento do nível lógico “0”.
Assinale:
Provas
Disciplina: TI - Organização e Arquitetura dos Computadores
Banca: FGV
Orgão: Hemocentro-SP
A figura 1 mostra uma máquina de estados com as transições dos estados B (bit MAIS significativo) e A (bit MENOS significativo).
A figura 2 mostra a implementação dessa máquina de estados, usando flip-flops D e lógicas para os estados seguintes de B e A.

As lógicas B e A nas entradas dos flip-flops são, respectivamente,
Provas
Disciplina: TI - Organização e Arquitetura dos Computadores
Banca: FGV
Orgão: Hemocentro-SP
Com relação ao sistema de telefonia fixa, analise as afirmativas a seguir.
I. A rede de comutação é composta pelos equipamentos necessários à seleção do caminho que possibilita a comunicação entre os usuários;
II. A região de operação do sistema é dividida em células as quais são cobertas por estações rádio base;
III. Centrais Tandem destinam-se a proporcionar o trânsito entre centrais locais ou interurbanas, não possuindo terminais de assinantes.
Assinale:
Provas
Disciplina: TI - Organização e Arquitetura dos Computadores
Banca: FGV
Orgão: Hemocentro-SP
Uma empresa é formada por três setores A, B e C, e a distribuição do seu tráfego telefônico externo na Hora de Maior Movimento (HMM) é mostrada na tabela a seguir.
|
Setor |
Número de chamadas |
Duração de cada |
| A | 10 |
4 min |
| B | 12 |
2 min |
| C | 8 |
7 min |
Com base nos dados fornecidos, a intensidade do tráfego telefônico dessa empresa, na HMM é, em Erlangs, igual a
Provas
Disciplina: TI - Organização e Arquitetura dos Computadores
Banca: FGV
Orgão: Hemocentro-SP
O circuito da figura a seguir mostra um multiplexador com entradas D0 e D1, sinal de controle S e saída Y.
A entrada D0 é acionada quando S=0

Considerando as entradas A e B e a saída Y, esse circuito funciona como uma porta
Provas
Disciplina: TI - Organização e Arquitetura dos Computadores
Banca: FGV
Orgão: Hemocentro-SP
Considere a seguinte soma:
21 (base decimal)
+ 2A (base hexadecimal)
---------
x (base binária)
X é igual a
Provas
Disciplina: TI - Organização e Arquitetura dos Computadores
Banca: FGV
Orgão: Hemocentro-SP
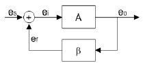
A figura abaixo mostra o diagrama em blocos de um amplificador realimentado, onde A e \( \beta \) representam os ganhos dos seus respectivos blocos.

Para que o ganho desse amplificador dependa apenas de \( \beta, \) deve-se ter
Provas
Considere o filtro mostrado na figura abaixo, com a resistência R dada em ohms e a indutância L dada em henrys.

Sua frequência de corte, em hertz, é
Provas
Caderno Container