Foram encontradas 70 questões.
Suponha o seguinte modelo MA(1):
yt = ut + a1 (ut-1 )
em que ut é um ruído branco cuja variância é igual a σ2 .
Assim, a variância incondicional e as autocorrelações de primeira e de segunda ordens são iguais, respectivamente, a
yt = ut + a1 (ut-1 )
em que ut é um ruído branco cuja variância é igual a σ2 .
Assim, a variância incondicional e as autocorrelações de primeira e de segunda ordens são iguais, respectivamente, a
Provas
Questão presente nas seguintes provas
Em outubro de 2003, as empresas do setor informal empregavam aproximadamente 4 milhões de pessoas (Ecinf/IBGE). Para avaliar a proporção dessas pessoas que trabalham com carteira assinada, uma amostra aleatória de 900 empregados do setor informal revelou que 10% trabalham com carteira assinada.
O intervalo de 95% de confiança para proporção de pessoas empregadas, em empresas do setor informal, que trabalham com carteira assinada é
O intervalo de 95% de confiança para proporção de pessoas empregadas, em empresas do setor informal, que trabalham com carteira assinada é
Provas
Questão presente nas seguintes provas
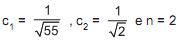
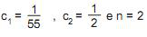
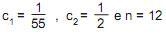
As variáveis aleatórias X1 , X2 , ...., X10 , são independentes e tais que Xk ~N(0,k), para k = 1, 2,..., 10, e Y1 e Y2 são duas variáveis aleatórias independentes com Yi ~N(2,1) para i = 1, 2.
Supondo que as variáveis Xk , k = 1, 2,..., 10, e Yi , i = 1, 2, sejam também independentes, e que a variável
W = c1 (X 1 + X2 + ... + X10 ) 2 + c2 (Y1 - Y2 ) 2
tem distribuição qui-quadrado com n graus de liberdade, quais os valores de c1 , c2 e n?
Supondo que as variáveis Xk , k = 1, 2,..., 10, e Yi , i = 1, 2, sejam também independentes, e que a variável
W = c1 (X 1 + X2 + ... + X10 ) 2 + c2 (Y1 - Y2 ) 2
tem distribuição qui-quadrado com n graus de liberdade, quais os valores de c1 , c2 e n?
Provas
Questão presente nas seguintes provas
Seja Ω = {-2, -1, 0, 1, 2} um espaço amostral para um dado experimento. A menor σ-álgebra F de subconjuntos de Ω para que X(ω) = ω2 seja uma variável aleatória definida no espaço de probabilidade (Ω, F, P) é dada por:
Provas
Questão presente nas seguintes provas
- Estatística DescritivaMedidas de DispersãoCovariância e Correlação
- ProbabilidadesProcessos Estocásticos
- Séries TemporaisAnálise de Séries Temporais
Suponha que um processo estacionário de séries de tempo yt tenha sido gerado por um modelo ARMA (p,q). As suas funções de correlação (ACF) e de autocorrelação parcial (PACF) são dadas pelos gráficos abaixo.

Suponha, ainda, que a média incondicional da série yt seja igual a 10.
Se ut é um processo de ruído branco, yt é definido pelo processo

Suponha, ainda, que a média incondicional da série yt seja igual a 10.
Se ut é um processo de ruído branco, yt é definido pelo processo
Provas
Questão presente nas seguintes provas
Suponha que a taxa de desemprego trimestral (ut ) seja explicada pelo PIB trimestral (PIBt ) e pela taxa trimestral de inflação (pt ). No entanto, o desemprego pode ter comportamento sazonal. Assim, um analista resolve estimar o seguinte modelo:

em que trim1, trim2 e trim3 são variáveis dummies para o primeiro, segundo e terceiro trimestres, respectivamente, e et é o termo aleatório.
Os interceptos do terceiro e do quarto trimestres são iguais, respectivamente, a
em que trim1, trim2 e trim3 são variáveis dummies para o primeiro, segundo e terceiro trimestres, respectivamente, e et é o termo aleatório.
Os interceptos do terceiro e do quarto trimestres são iguais, respectivamente, a
Provas
Questão presente nas seguintes provas
Um modelo de regressão linear Y= β0+ β1X + ∈ (Y = peso, em kg, e X = altura, em cm) foi definido para estudar a relação
entre peso e altura de crianças com menos de 1 ano das unidades da federação (POF-2002-2003) e forneceu os resultados
abaixo com alguns campos em branco.

Uma estimativa para a variação que ocorre no peso médio de crianças com menos de 1 ano, para cada unidade de variação da altura, éentre peso e altura de crianças com menos de 1 ano das unidades da federação (POF-2002-2003) e forneceu os resultados
abaixo com alguns campos em branco.

Provas
Questão presente nas seguintes provas
Um modelo de regressão linear Y= β0+ β1X + ∈ (Y = peso, em kg, e X = altura, em cm) foi definido para estudar a relação
entre peso e altura de crianças com menos de 1 ano das unidades da federação (POF-2002-2003) e forneceu os resultados
abaixo com alguns campos em branco.

Usando o modelo de regressão linear estimado, tem-se que o peso médio, em kg, de uma criança com menos de 1 ano com altura 64,5 cm éentre peso e altura de crianças com menos de 1 ano das unidades da federação (POF-2002-2003) e forneceu os resultados
abaixo com alguns campos em branco.

Provas
Questão presente nas seguintes provas
Um modelo de regressão linear Y= β0+ β1X + ∈ (Y = peso, em kg, e X = altura, em cm) foi definido para estudar a relação
entre peso e altura de crianças com menos de 1 ano das unidades da federação (POF-2002-2003) e forneceu os resultados
abaixo com alguns campos em branco.

Os valores de a, b, c, e d são, respectivamente,entre peso e altura de crianças com menos de 1 ano das unidades da federação (POF-2002-2003) e forneceu os resultados
abaixo com alguns campos em branco.

Provas
Questão presente nas seguintes provas
Em uma pesquisa, utilizando amostragem estratificada simples, para avaliação da safra de café Arábica em grão (verde) no Nordeste, verificou-se que a variável mais adequada para estratificação dos estabelecimentos produtores era o efetivo de pés de café fornecido pelo Censo Agropecuário/IBGE-2006. A Tabela abaixo apresenta o total de estabelecimentos e a variância em cada estrato. Supondo que o custo de amostragem é igual em todos os estratos e o tamanho da amostra total é de 1000, determina-se o tamanho da amostra em cada estrato, segundo a alocação ótima de Neyman.

Então, n1 , n2 e n3 , respectivamente, são aproximadamente iguais a

Então, n1 , n2 e n3 , respectivamente, são aproximadamente iguais a
Provas
Questão presente nas seguintes provas
Cadernos
Caderno Container