Foram encontradas 50 questões.
O desafio de usar a tecnologia a favor do ensino
Não basta usar computador e tablet em sala de aula.
Professores devem estar capacitados para auxiliar e orientar alunos
Não restam dúvidas sobre a intensa presença da tecnologia no dia a dia dos jovens - uma geração que já nasceu conectada com o mundo virtual - e os impactos que esse novo perfil de aluno traz ao ambiente escolar. Esse contexto lança o desafio para escolas e professores sobre como usar os novos recursos tecnológicos a favor do ensino. Lutar contra a presença deles não é mais visto como uma opção.
“Estamos no século 21, não tem como dar aula como se dava há 10 anos”, diz Glaucia Brito, professora do departamento de Comunicação Social da Universidade Federal do Paraná (UFPR) e especialista em Tecnologia na Educação. Para ela, a escola está atrasada. Os jovens são outros e os professores precisam se transformar para seguir essa mudança.
O uso da tecnologia pode ser proveitoso no estudo interativo de conteúdos, tornando-os mais atraentes e fazendo com que o aluno adote uma postura mais participativa. No Colégio Dom Bosco, em Curitiba, tablets e netbooks são fornecidos aos alunos desde o 6.° ano do ensino fundamental. “A ideia é tentarfalar a mesma linguagem [dos alunos]. Não adianta ser diferente em casa. Trabalhamos o uso responsável”, explica o professor de Física e coordenador de Tecnologias, Raphael Corrêa.
A escola trabalha de duas maneiras: recorre a objetos educacionais digitais, como vídeos, animações, imagens e infográficos, para dar suporte às aulas, e estimula a pesquisa dos alunos na internet, com a orientação do professor sobre como encontrar a informação desejada de forma segura e a partir de fontes confiáveis. Entretanto, não são só benefícios que os dispositivos móveis trazem. O colégio controla o uso quando a aula não necessita dos aparelhos e bloqueia o acesso às redes sociais, os principais vilões quando o assunto é distração.
“Tem professor que reclama que os alunos não prestam atenção, ficam só no celular. Mas, na minha época, por exemplo, nos distraíamos com gibi. A questão é como está a aula do professor”, avalia Glaucia, que defende ser possível dar uma aula de qualidade e atraente mesmo sem usar aparatos modernos.
Envolvimento
No Colégio Sion, a tecnologia é mais usada pelos professores, embora os alunos também usufruam em determinados momentos. Para a coordenadora do ensino médio, Cinthia Reneaux, é preciso fazer com que o estudante participe do processo, saiba contar o que aprendeu. “Para não ficar muito no virtual, fazemos muitos seminários, debates e pesquisas. Tentamos resgatar o diálogo, a conversa e discussão entre eles”, explica Cinthia, citando o formato semicircular na disposição das carteiras nas salas para facilitar o método.
Fonte: http://www.gazetadopovo.com.br/educacao/o-desafio-de-usar-a-tecnologia-a-favor-do-ensino-ealmosyp83vcnzak775day3bi
Provas
O desafio de usar a tecnologia a favor do ensino
Não basta usar computador e tablet em sala de aula.
Professores devem estar capacitados para auxiliar e orientar alunos
Não restam dúvidas sobre a intensa presença da tecnologia no dia a dia dos jovens - uma geração que já nasceu conectada com o mundo virtual - e os impactos que esse novo perfil de aluno traz ao ambiente escolar. Esse contexto lança o desafio para escolas e professores sobre como usar os novos recursos tecnológicos a favor do ensino. Lutar contra a presença deles não é mais visto como uma opção.
“Estamos no século 21, não tem como dar aula como se dava há 10 anos”, diz Glaucia Brito, professora do departamento de Comunicação Social da Universidade Federal do Paraná (UFPR) e especialista em Tecnologia na Educação. Para ela, a escola está atrasada. Os jovens são outros e os professores precisam se transformar para seguir essa mudança.
O uso da tecnologia pode ser proveitoso no estudo interativo de conteúdos, tornando-os mais atraentes e fazendo com que o aluno adote uma postura mais participativa. No Colégio Dom Bosco, em Curitiba, tablets e netbooks são fornecidos aos alunos desde o 6.° ano do ensino fundamental. “A ideia é tentarfalar a mesma linguagem [dos alunos]. Não adianta ser diferente em casa. Trabalhamos o uso responsável”, explica o professor de Física e coordenador de Tecnologias, Raphael Corrêa.
A escola trabalha de duas maneiras: recorre a objetos educacionais digitais, como vídeos, animações, imagens e infográficos, para dar suporte às aulas, e estimula a pesquisa dos alunos na internet, com a orientação do professor sobre como encontrar a informação desejada de forma segura e a partir de fontes confiáveis. Entretanto, não são só benefícios que os dispositivos móveis trazem. O colégio controla o uso quando a aula não necessita dos aparelhos e bloqueia o acesso às redes sociais, os principais vilões quando o assunto é distração.
“Tem professor que reclama que os alunos não prestam atenção, ficam só no celular. Mas, na minha época, por exemplo, nos distraíamos com gibi. A questão é como está a aula do professor”, avalia Glaucia, que defende ser possível dar uma aula de qualidade e atraente mesmo sem usar aparatos modernos.
Envolvimento
No Colégio Sion, a tecnologia é mais usada pelos professores, embora os alunos também usufruam em determinados momentos. Para a coordenadora do ensino médio, Cinthia Reneaux, é preciso fazer com que o estudante participe do processo, saiba contar o que aprendeu. “Para não ficar muito no virtual, fazemos muitos seminários, debates e pesquisas. Tentamos resgatar o diálogo, a conversa e discussão entre eles”, explica Cinthia, citando o formato semicircular na disposição das carteiras nas salas para facilitar o método.
Fonte: http://www.gazetadopovo.com.br/educacao/o-desafio-de-usar-a-tecnologia-a-favor-do-ensino-ealmosyp83vcnzak775day3bi
Provas
Provas
- UniãoExecutivoDecreto 1.171/1994: Código de Ética do Servidor Público Civil do Poder Executivo Federal
Provas
Provas
Provas
Provas
Provas
- Agentes PúblicosCargos, Empregos e Funções PúblicasAcumulação de Cargos, Empregos e Funções Públicas
- Lei 8.112/1990: RJU
Provas
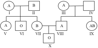
Observe o heredograma que mostra o fenótipo sanguíneo de uma família e assinale a alternativa correta.

Provas
Caderno Container