Foram encontradas 40 questões.
Qual a função do botão mostrado na Ilustração 1, que pode se encontrado no editor de texto MS Word?

Provas
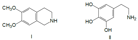
Considere as afirmações a seguir, relativas aos dois alcalóides representados abaixo pelas estruturas I e II.
i) I é mais hidrossolúvel que II.
ii) II apresenta maior temperatura de fusão que I.
iii) A temperatura de ebulição de I é maior que a de II.

Analisando as afirmações acima, a alternativa correta é:
Provas
Um técnico químico precisa fazer 500 mL de uma solução 0,5 mol.L-1 de ácido clorídrico. Para essa finalidade, o técnico precisou de um volume de ácido clorídrico concentrado 37% v/v, que foi lentamente adicionado num balão volumétrico de 500 mL contendo água destilada. Qual foi o volume do ácido concentrado que o técnico usou, considerando a temperatura do laboratório de 25 ºC?
(Dados: Densidade do HCl = 1,2 g.mL-1 a 25ºC, massa molar do HCl = 36,46 g.mol-1).
Provas
Observe as afirmativas abaixo, que se referem à cromatografia líquida de alta eficiência (CLAE).
I) Análises quantitativas são de fácil execução e de grande precisão, sendo comuns desvios relativos inferiores a 0,5%.
II) Tem excelente capacidade analítica, podendo separar até 50 componentes numa amostra.
III) Tem baixa capacidade preparativa, havendo a necessidade de múltiplas injeções de amostra.
IV) O detector por captura de elétrons é comumente usado na CLAE.
Marque a opção que analisa corretamente as afirmativas.
Provas
Os reagentes químicos costumam apresentar em seus rótulos pictogramas que são símbolos que informam sobre os riscos do manuseio da substância química. Abaixo há uma relação de pictogramas. Assinale a resposta que mostra os significados corretos de cada um.

Provas
Você precisa preparar 100 mL de um tampão NH4+/NH3 a partir de soluções de NH4Cl (0,5 mol.L-1) e NH3 (0,2 mol.L-1). As concentrações devem satisfazer as seguintes condições: [NH4+]/[NH3] = 0,25 e [NH4+] + [NH3] = 0,20 mol.L-1.
Responda:
1. Quais os volumes de cada uma das soluções acima que devem ser utilizados?
2. Sabendo-se que o valor de pKBase é 4,74, calcule o valor do pH da solução tampão preparada acima.
(Dado: log 0,25 = - 0,60)
As respostas corretas para as perguntas acima são:
Provas
As proteínas são moléculas derivadas da condensação de aminoácidos através de ligações peptídicas originando amidas. Indique, entre as substâncias abaixo, aquela que mostra ao menos uma ligação semelhante à ligação peptídica.
Provas
Uma alíquota de 25 mL de água natural é titulada, em condições otimizadas, com uma solução de ácido etilenodiaminotetraacético (EDTA) de concentração de 1,0x10-2 mol.L-1. Foram gastos 16,45 mL do titulante para atingir o ponto de equivalência. Qual é a dureza dessa água expressa em mg.mL-1 de CaCO3?
(Dado: Massa Molar do CaCO3 = 100,1 g.mol-1)
Provas
Numa reação de um composto X com um composto Y, é formado um complexo XY que tem absorbância máxima no comprimento de onda 550 nm. Foi acompanhada a influência da radiação luminosa sobre a formação de XY pela exposição de uma cubeta, contendo os dois reagentes, à luz ambiente. O experimento foi realizado 3 vezes: na primeira vez utilizando-se uma cubeta sem nenhuma proteção à luz ambiente; na segunda vez a cubeta foi envolvida com o filtro 1; e na terceira vez a cubeta foi envolvida com um filtro 2. O espectro dos filtros utilizados e a variação da absorbância do complexo XY !$ (no \ \lambda = 550 nm) !$ em função do tempo de exposição da mistura reacional à luz ambiente são mostrados, respectivamente, nas figuras A e B.

Com base nessas informações, responda:
1. Que filtro seria mais eficiente em absorver a radiação luminosa de maior energia?
2. Qual seria a cor desse filtro, considerando-se o comprimento de onda de máxima absorbância?
3. Qual a região do espectro eletromagnético que mais induz a formação do complexo XY?
As respostas corretas para as questões acima são, respectivamente:
Provas
O processo de atomização na espectroscopia atômica é caracterizado por qual seqüência de etapas abaixo?
Provas
Caderno Container