Foram encontradas 30 questões.
Considere as afirmações descritas abaixo:
I. Sejam A e B matrizes quadradas de mesma dimensão, então AB = BA.
II. Seja A uma matriz quadrada invertível, então det (A-1) = [det(A)]-1.
III. Sejam A e B matrizes quadradas de mesma dimensão, então det(AB) = det(A) det(B).
IV. Se λ é um autovalor real, não nulo, de uma matriz invertível A, então λ-1 é um autovalor da matriz A-1.
V. Se det(A) = 0, então o sistema linear AX = B não possui solução.
VI. Se A é uma matriz invertível, então o sistema linear AX = B tem solução única.
Está(ão) incorreta(s) a(s) afirmação(ões):
Provas
Considere o sistema linear homogêneo AX = 0, em que:
\(A = \begin{bmatrix} 1 & 0 & 2 & -2 & 0 \\ -1 & 1 & 0 & 1 & 1 \\ 0 & 2 & 4 & -2 & 2 \end{bmatrix} \text{ e } X = \begin{bmatrix} x_1 \\ x_2 \\ x_3 \\ x_4 \\ x_5 \end{bmatrix}\).
Assinale a alternativa correta.
Provas
Assinale a alternativa correspondente ao volume do paralelepípedo que contém os vértices: 0 = (0,0,0), A = (1, −1,2), B = (1,0,1) e C = (−1,2,1).

Provas
Considere o plano \(π: 2x + y − z = 4\) e as retas
\(r_1 : (x, y, z) = (0, 0, −4) + t(1, −1, 1),\)
\(r_2 : \dfrac{x-1}{2} = y + 1 = \dfrac{z+3}{-1} \text{ e}\)
\(r_3: \begin{cases} x + y - z = 1 \\ -y + z = 0 \end{cases}\)
As posições relativas entre r1 e π; r1 e r2 ; r1 e r3 ; e r3 e π são, respectivamente:
Provas
Considerando-se a função f: ℝ → ℝ definida por f(x) = −3x5 + 5x3 e seu gráfico, é correto afirmar que:
Provas
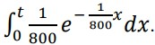
Uma indústria que produz lâmpadas para faróis de automóveis determinou que a vida média
das lâmpadas que produz é de 800 horas. Além disso, essa indústria sabe que a probabilidade
de uma de suas lâmpadas apresentar problemas, do momento da compra até t horas de uso,
é dada pela função
Escolhida ao acaso uma dessas lâmpada e
adotando-se a aproximação In 0,6873 = −0,3750, determine qual é a probabilidade de a
lâmpada escolhida falhar com 300 horas de uso ou menos e marque a alternativa
correspondente a tal probabilidade.
Provas
Uma empresa que produz embalagens de papelão recebeu como encomenda a manufatura de caixas, em formato de paralelepípedo, de modo que soma de seu comprimento com o perímetro de sua seção transversal não seja maior que 108 centímetros. Assinale a alternativa correspondente ao maior volume que uma caixa dessas pode apresentar.
Provas
O comprimento do arco da curva que representa graficamente a função y = 1/3 √x . (3x − 1), do ponto ( 1, 2/3) ao ponto (4, 22/3), em unidades de comprimento (u. c.), é igual a:
Provas
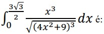
O valor da integral definida 
Provas
Assinale a alternativa correspondente ao volume v do sólido delimitado pela superfície f(x, y) = e −x2 , pelo plano xz e pelos planos y = x e x = 1
Provas
Caderno Container