Foram encontradas 50 questões.
Sobre o desenvolvimento de aplicações na plataforma EJB (Enterprise JavaBeans), são definidos papéis distintos a serem desempenhados pelos elementos envolvidos no processo de desenvolvimento de aplicações e gerência do ciclo de vida de implantação. Sobre esses papéis, podemos afirmar que
Provas
Um provedor de serviços fornece uma descrição de funcionalidade na especificação WSDL (Web Service Description Language). Um desenvolvedor que deseja criar uma aplicação para invocar essa funcionalidade, ao estudar o documento WSDL, irá encontrar uma estrutura com a seguinte característica:
Provas
Considere uma organização que disponibiliza Web Services para clientes e colaboradores na sua rede corporativa. Visando facilitar o acesso, um serviço de busca de diretórios e serviços é implantado usando a especificação UDDI (Universal Directory and Discovery Integration). Sobre o acesso das aplicações clientes a esse serviço, podemos afirmar que
Provas
- Paradigmas de ProgramaçãoOrientação a ObjetosOrientação a Objetos: Classes e Objetos
- Paradigmas de ProgramaçãoOrientação a ObjetosOrientação a Objetos: Encapsulamento
- Paradigmas de ProgramaçãoOrientação a ObjetosOrientação a Objetos: Herança
- Paradigmas de ProgramaçãoOrientação a ObjetosOrientação a Objetos: Polimorfismo
Sobre os conceitos de Orientação a Objetos, identifique com “V” caso verdadeiro ou “F” caso falso as assertivas a seguir.
( ) A Sobrescrita permite que, em uma mesma classe, tenhamos vários métodos com o mesmo nome, mas com a assinatura diferente.
( ) Objetos são instâncias de uma classe que possui os atributos e as operações definidos na classe.
( ) Superclasse é uma especialização de um conjunto de classes através de herança.
( ) A Sobrecarga possibilita que o mesmo nome possa ser utilizado em diferentes métodos em uma mesma classe, desde que, por exemplo, as quantidades de parâmetros sejam diferentes.
( ) Classe encapsula dados para descrever o conteúdo de alguma entidade do mundo real.
A sequência correta obtida, no sentido de cima para baixo, é
Provas
Dado um projeto Java onde temos duas classes concretas A e H, duas interfaces B e D e uma classe abstrata C, todas no mesmo pacote, assinale o único código permitido em Java.
Provas
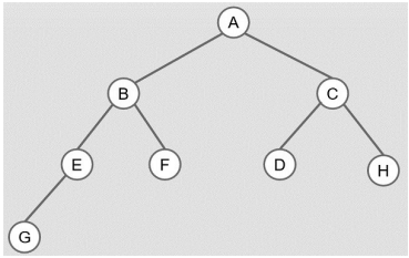
Dada a árvore binária da figura abaixo, assinale a alternativa que possui a sequência de visitas dos vértices que são realizadas pelo algoritmo de percurso Pós-Ordem.

Provas
- Fundamentos de ProgramaçãoAlgoritmosAlgoritmos de Busca
- Fundamentos de ProgramaçãoComplexidade
- Fundamentos de ProgramaçãoEstruturas de DadosEstrutura de Dados: Vetor
Basicamente, existem dois métodos de pesquisa em um vetor de números, a Busca Linear e a Busca Binária. A Busca Binária é mais eficiente do que a Busca Linear, mas ela só funciona se o vetor estiver ordenado. Assinale a alternativa que indique a ordem de complexidade do pior caso da Busca Binária em um vetor de n números ordenados.
Provas
Suponha as seguintes operações de empilhar e desempilhar realizadas em uma pilha vazia: empilhar(10), empilhar(5), empilhar(7), desempilhar(), empilhar(13), empilhar(4), desempilhar(), desempilhar(), desempilhar(), empilhar(1), desempilhar(), desempilhar(). Assinale a alternativa que contenha a sequência de números que foram removidos da pilha pela operação de desempilhar na sequência que foi executada.
Provas
TEXTO II PARA AS QUESTÕES 11 A 20
FILOSOFIA DOS EPITÁFIOS
Saí, afastando-me dos grupos, e fingindo ler os
epitáfios. E, aliás, gosto dos epitáfios; eles são, entre a gente
civilizada, uma expressão daquele pio e secreto egoismo que
induz o homem a arrancar à morte um farrapo ao menos da
5 sombra que passou. Daí vem, talvez, a tristeza inconsolável
dos que sabem os seus mortos na vala comum(*); parece-
lhes que a podridão anônima os alcança a eles mesmos.
(Machado de Assis, Memórias Póstumas de Brás Cubas)
O trecho “(...) uma expressão daquele pio e secreto egoísmo que induz o homem a arrancar à morte um farrapo ao menos da sombra que passou.” (linhas 3 a 5) é constituído de duas partículas “que”. Sobre tais partículas, pode-se afirmar que têm
Provas
TEXTO II PARA AS QUESTÕES 11 A 20
FILOSOFIA DOS EPITÁFIOS
Saí, afastando-me dos grupos, e fingindo ler os
epitáfios. E, aliás, gosto dos epitáfios; eles são, entre a gente
civilizada, uma expressão daquele pio e secreto egoismo que
induz o homem a arrancar à morte um farrapo ao menos da
5 sombra que passou. Daí vem, talvez, a tristeza inconsolável
dos que sabem os seus mortos na vala comum(*); parece-
lhes que a podridão anônima os alcança a eles mesmos.
(Machado de Assis, Memórias Póstumas de Brás Cubas)
Acerca do excerto “(...) parece-lhes que a podridão anônima os alcança a eles mesmos.”, (linhas 6 e 7) pode-se afirmar que o
Provas
Caderno Container