Foram encontradas 50 questões.
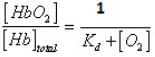
A hemoglobina é uma proteína encontrada no interior dos eritrócitos que possui como função principal o transporte de gases pelo nosso corpo. A hemoglobina é uma proteína globular encontrada no interior dos eritrócitos que é responsável pela coloração vermelha do sangue. Apesar dessa característica marcante, essa não é a única função da hemoglobina, que está relacionada também com o transporte de gases e o equilíbrio ácido-base.

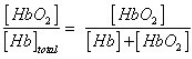
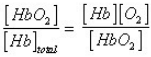
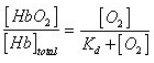
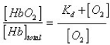
Sendo que !$ K_d !$ é a constante de dissociação, !$ [Hb] !$ a concentração de hemoglobina livre e !$ [Hb] _t !$ , a concentração total de hemoglobina, pode-se afirmar corretamente que a relação entre a concentração de hemoglobina oxigenada e a hemoglobina total pode ser dada por
Provas
Uma possibilidade de conversão gás-partícula é a reação direta entre gases resultando em finas partículas sólidas dispersas no ar. Um exemplo é a reação de neutralização de amônia com cloreto de hidrogênio em fase gasosa, que resulta em finas partículas de cloreto de amônio dispersas no ar, formando uma névoa. Essa reação é apresentada em um experimento clássico que ilustra a velocidade de difusão de gases e sua dependência com a massa molar. A reação de formação de !$ NH_4Cl !$ (anel branco) ocorre na parte do tubo mais próxima à extremidade onde o HCl é introduzido. Dados: peso molar: H = 1 g/mol, N = 14 g/mol; Cl = 35,5 g/mol.
Fonte: http://www.scielo.br/scielo.php?script=sci_arttext&pid=S0100- 40422017000700824.

Assim, sendo a velocidade de difusão do cloreto de amônio igual a 27 km/min, pode-se determinar que a velocidade de difusão do HCl no sistema de Graham mostrado acima é
Provas
Pode-se dividir o tratamento de água em duas etapas: tratamento inicial e final. No tratamento inicial não há reações químicas envolvidas, somente processos físicos (peneiramento, sedimentação ou decantação e aeração). No tratamento final, há reações químicas envolvidas na coagulação ou floculação, seguidas de processos físicos de sedimentação e filtração, além de desinfecção (processo químico). Assinale a alternativa que melhor representa a essência dos reagentes utilizados de coagulação.
Provas
200 g de hidrogênio molecular !$ (H_2) !$ em condições de gás real são colocados em um cilindro de raio 50 cm e altura 100 cm. A temperatura interior do cilindro é – 182° C. A pressão deste gás no sistema, nestas condições, será aproximadamente
(Dados: !$ PM: H=1,0 g/mol !$; !$ R=0,08206 atmL/molK !$; !$ a=0,244 L^2atm/mol^2 !$ ; !$ b=0,02661 L/mol !$.)
Provas
TEXTO I PARA A QUESTÃO.
CIDADANIA NO BRASIL
Discorda-se da extensão, profundidade e rapidez do fenômeno, não de sua existência. A internacionalização do sistema capitalista, iniciada há séculos mas muito acelerada pelos avanços tecnológicos recentes, e a criação de blocos econômicos e políticos têm causado uma redução do poder dos Estados e uma mudança das identidades nacionais existentes. As várias nações que compunham o antigo império soviético se transformaram em novos Estados-nação. No caso da Europa Ocidental, os vários Estados-nação se fundem em um grande Estado multinacional. A redução do poder do Estado afeta a natureza dos antigos direitos, sobretudo dos direitos políticos e sociais.
Se os direitos políticos significam participação no governo, uma diminuição no poder do governo reduz também a relevância do direito de participar. Por outro lado, a ampliação da competição internacional coloca pressão sobre o custo da mão-de-obra e sobre as finanças estatais, o que acaba afetando o emprego e os gastos do governo, do qual dependem os direitos sociais. Desse modo, as mudanças recentes têm recolocado em pauta o debate sobre o problema da cidadania, mesmo nos países em que ele parecia estar razoavelmente resolvido.
Tudo isso mostra a complexidade do problema. O enfrentamento dessa complexidade pode ajudar a identificar melhor as pedras no caminho da construção democrática. Não ofereço receita da cidadania. Também não escrevo para especialistas. Faço convite a todos os que se preocupam com a democracia para uma viagem pelos caminhos tortuosos que a cidadania tem seguido no Brasil. Seguindo-lhe o percurso, o eventual companheiro ou companheira de jornada poderá desenvolver visão própria do problema. Ao fazê-lo, estará exercendo sua cidadania.
(http://www.do.ufgd.edu.br/mariojunior/arquivos/cidadania_brasil.pdf)
No trecho “Tudo isso mostra a complexidade do problema.”, o elemento textual “isso” possui natureza de coesão
Provas
- Química InorgânicaSoluções e Substâncias InorgânicasSoluções: características, tipos de concentração, diluição, mistura, titulação e soluções coloidais
Analise a figura a seguir e assinale a alternativa que apresenta a numeração do gráfico cuja curva de titulação poderia representar uma reação de neutralização de uma base forte com um ácido fraco.

Provas
O pleno entendimento das propriedades periódicas implica saber que a Tabela Periódica é composta por grupos ou famílias (colunas) e períodos ou camadas eletrônicas (linhas), de maneira que todos os elementos de um mesmo grupo possuem o mesmo número de elétrons na última camada enquanto que, em um mesmo período, todos os elementos possuem o mesmo número de camadas eletrônicas. A figura a seguir apresenta a Tabela Periódica de elementos químicos. Baseado na observação da Tabela e no estudo das propriedades periódicas dos elementos, pode-se afirmar que

Provas
A existência de Periodicidade de Propriedades dos Elementos Químicos se deve às características de distribuição eletrônica de cada elemento em seu "estado fundamental" de energia. Sobre as Propriedades periódicas dos elementos, é correto afirmar que
Provas
Observe a imagem das estruturas a seguir e assinale a alternativa correta.

Provas
A partir da reação global apresentada, assinale a alternativa correta:

Provas
Caderno Container