Foram encontradas 50 questões.
As células de combustíveis ou pilhas de hidrogênio usam gases como combustíveis. Em geral, têm três compartimentos. O primeiro contém hidrogênio (H2). No segundo compartimento, outro gás que será reagente como o gás oxigênio (O2). Ambos são separados por um terceiro compartimento, um ambiente onde estes gases irão se difundir passando pelos eletrodos e irão reagir, de tal forma que estas células convertem a energia liberada em reações de combustão dos gases em eletricidade. Esse tipo de pilha não se gasta, ou seja, os reagentes são continuamente injetados no aparelho durante o processo de oxirredução

Provas
Provas
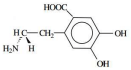
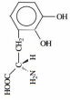
Atualmente, é possível sintetizar-se em laboratórios compostos enantioméricos que atuam como fármacos, como a Dopamina. O isômero D não possui atividade biológica, enquanto o L apresenta atividade contra o parkinsonismo. Assim, a alternativa abaixo que ilustra o enantiômero correto para a D-dopamina é

Fonte:https://www.feis.unesp.br/Home/departamentos/fisicaequimica/relacaodedocentes973/jeanricharddasnoyma rinho/quimica-organica.pdf
Provas
A figura abaixo mostra a estrutura do mineral feldspático com uma camada única visualizada perpendicular ao seu plano. A estrutura é estendida, girando cada camada sucessiva de 90º. Os feldspatos costumam ter um de cada quatro
substituído com
O desequilíbrio de carga resultante é compensado por sódio e/ou íons de potássio.

Provas
Existe atualmente muita preocupação de que os aumentos antropogênicos nos gases do efeito estufa possam induzir o rápido aquecimento da superfície da Terra. Existem gases causadores do efeito estufa que ocorrem naturalmente e mostram grandes aumentos ao longo do século passado devido à atividade humana. Sobre o tema, analise as afirmativas a seguir.
I.O principal gás responsável pela geração do efeito estufa é o vapor de água troposférico. Sua concentração atmosférica provém unicamente de fontes naturais, tais como evapotranspiração e atividade vulcânica.
II.Os principais gases antrópicos são o CO2, o CH4 e o N2O.
III.Modelos matemáticos climáticos projetam que as temperaturas globais de superfície provavelmente aumentarão no intervalo entre 1,1 e 6,4°C, e o nível médio das águas do mar será consequência deste fenômeno e estará associado à redução do nível do mar, fato que trará impactos ambientais e socioeconômicos significativos para as comunidades locais.
Assinale
Provas
mL foram colocados 0,020 mmol de pentacloreto de fósforo submetido a uma temperatura elevada, e então este composto converteu-se ao cloreto de fósforo trivalente após a decomposição térmica. O sistema em questão é reversível e tende ao equilíbrio químico. Atingida esta condição, verificou-se que a concentração do gás formado foi de 0,7 mol/L. Assim sendo, a constante de equilíbrio calculada para este processo será, aproximadamenteProvas
25.Os átomos ligam-se uns aos outros de diversas maneiras para “montar” todas as coisas que estão à nossa volta. O estudo da maneira em que os átomos se ligam, ou seja, das ligações químicas, é de fundamental importância para se entender as propriedades da matéria e como ela se comporta. Há dois modos principais pelos quais as ligações químicas podem ser formadas: em um deles, a ligação iônica, as partes envolvidas (“blocos construtores”) encontram-se na forma de íons (possuem carga elétrica, decorrente do ganho ou perda de elétrons). Por exemplo, NaCl - sal de cozinha. Na ligação covalente, há o compartilhamento de elétrons entre dois átomos neutros. Por exemplo é o diamante, formado apenas por átomos de carbono ligados covalentemente. Fonte:http://web.ccead.puc-rio.br/condigital/mvsl/Sala%20de%20Leitura/conteudos/SL_ligacoes_quimicas.pdf Sobre as propriedades gerais associadas a compostos iônicos e covalentes, pode-se afirmar que
Provas
Abaixo tem-se a estrutura de argilomineral do tipo esmectita. A vermiculita é um argilomineral que se enquadra neste grupo.

Sendo Mx a representação da carga da camada do composto mineral supracitado. A massa molecular da vermiculita é aproximadamente
Provas
Provas

Provas
Caderno Container