Foram encontradas 50 questões.
TEXTO I PARA AS QUESTÕES 01 A 10.
CIDADANIA NO BRASIL
Discorda-se da extensão, profundidade e rapidez do fenômeno, não de sua existência. A internacionalização do sistema
capitalista, iniciada há séculos mas muito acelerada pelos avanços tecnológicos recentes, e a criação de blocos econômicos e
políticos têm causado uma redução do poder dos Estados e uma mudança das identidades nacionais existentes. As várias nações
que compunham o antigo império soviético se transformaram em novos Estados-nação. No caso da Europa Ocidental, os vários
5 Estados-nação se fundem em um grande Estado multinacional. A redução do poder do Estado afeta a natureza dos antigos direitos,
sobretudo dos direitos políticos e sociais.
Se os direitos políticos significam participação no governo, uma diminuição no poder do governo reduz também a
relevância do direito de participar. Por outro lado, a ampliação da competição internacional coloca pressão sobre o custo da mão-
de-obra e sobre as finanças estatais, o que acaba afetando o emprego e os gastos do governo, do qual dependem os direitos
10 sociais. Desse modo, as mudanças recentes têm recolocado em pauta o debate sobre o problema da cidadania, mesmo nos países
em que ele parecia estar razoavelmente resolvido.
Tudo isso mostra a complexidade do problema. O enfrentamento dessa complexidade pode ajudar a identificar melhor as
pedras no caminho da construção democrática. Não ofereço receita da cidadania. Também não escrevo para especialistas. Faço
convite a todos os que se preocupam com a democracia para uma viagem pelos caminhos tortuosos que a cidadania tem seguido
15 no Brasil. Seguindo-lhe o percurso, o eventual companheiro ou companheira de jornada poderá desenvolver visão própria do
problema. Ao fazê-lo, estará exercendo sua cidadania.
(http://www.do.ufgd.edu.br/mariojunior/https://arquivos.infra-questoes.grancursosonline.com.br/arquivos/cidadania brasil.pdf)
O TEXTO I acima aborda aspectos sociológicos, ligados à formação do povo brasileiro. Sobre os aspectos linguísticos presentes no TEXTO I, responda às próximas 10 questões.
No trecho “Ao fazê-lo, estará exercendo sua cidadania.” (linha 16), ocorre o signo linguístico “fazê-lo”, cujo acento gráfico ocorre pelo mesmo motivo que em
Provas
TEXTO I PARA AS QUESTÕES 01 A 10.
CIDADANIA NO BRASIL
Discorda-se da extensão, profundidade e rapidez do fenômeno, não de sua existência. A internacionalização do sistema
capitalista, iniciada há séculos mas muito acelerada pelos avanços tecnológicos recentes, e a criação de blocos econômicos e
políticos têm causado uma redução do poder dos Estados e uma mudança das identidades nacionais existentes. As várias nações
que compunham o antigo império soviético se transformaram em novos Estados-nação. No caso da Europa Ocidental, os vários
5 Estados-nação se fundem em um grande Estado multinacional. A redução do poder do Estado afeta a natureza dos antigos direitos,
sobretudo dos direitos políticos e sociais.
Se os direitos políticos significam participação no governo, uma diminuição no poder do governo reduz também a
relevância do direito de participar. Por outro lado, a ampliação da competição internacional coloca pressão sobre o custo da mão-
de-obra e sobre as finanças estatais, o que acaba afetando o emprego e os gastos do governo, do qual dependem os direitos
10 sociais. Desse modo, as mudanças recentes têm recolocado em pauta o debate sobre o problema da cidadania, mesmo nos países
em que ele parecia estar razoavelmente resolvido.
Tudo isso mostra a complexidade do problema. O enfrentamento dessa complexidade pode ajudar a identificar melhor as
pedras no caminho da construção democrática. Não ofereço receita da cidadania. Também não escrevo para especialistas. Faço
convite a todos os que se preocupam com a democracia para uma viagem pelos caminhos tortuosos que a cidadania tem seguido
15 no Brasil. Seguindo-lhe o percurso, o eventual companheiro ou companheira de jornada poderá desenvolver visão própria do
problema. Ao fazê-lo, estará exercendo sua cidadania.
(http://www.do.ufgd.edu.br/mariojunior/https://arquivos.infra-questoes.grancursosonline.com.br/arquivos/cidadania brasil.pdf)
O TEXTO I acima aborda aspectos sociológicos, ligados à formação do povo brasileiro. Sobre os aspectos linguísticos presentes no TEXTO I, responda às próximas 10 questões.
Na passagem "Desse modo, as mudanças recentes têm recolocado em pauta o debate sobre o problema da cidadania, (...)” (linha 10), o elemento “desse modo” marca a sequenciação textual. Não haveria qualquer desvio gramatical e a ideia seria preservada, caso se substituísse o conectivo citado por
Provas
TEXTO I PARA AS QUESTÕES 01 A 10.
CIDADANIA NO BRASIL
Discorda-se da extensão, profundidade e rapidez do fenômeno, não de sua existência. A internacionalização do sistema
capitalista, iniciada há séculos mas muito acelerada pelos avanços tecnológicos recentes, e a criação de blocos econômicos e
políticos têm causado uma redução do poder dos Estados e uma mudança das identidades nacionais existentes. As várias nações
que compunham o antigo império soviético se transformaram em novos Estados-nação. No caso da Europa Ocidental, os vários
5 Estados-nação se fundem em um grande Estado multinacional. A redução do poder do Estado afeta a natureza dos antigos direitos,
sobretudo dos direitos políticos e sociais.
Se os direitos políticos significam participação no governo, uma diminuição no poder do governo reduz também a
relevância do direito de participar. Por outro lado, a ampliação da competição internacional coloca pressão sobre o custo da mão-
de-obra e sobre as finanças estatais, o que acaba afetando o emprego e os gastos do governo, do qual dependem os direitos
10 sociais. Desse modo, as mudanças recentes têm recolocado em pauta o debate sobre o problema da cidadania, mesmo nos países
em que ele parecia estar razoavelmente resolvido.
Tudo isso mostra a complexidade do problema. O enfrentamento dessa complexidade pode ajudar a identificar melhor as
pedras no caminho da construção democrática. Não ofereço receita da cidadania. Também não escrevo para especialistas. Faço
convite a todos os que se preocupam com a democracia para uma viagem pelos caminhos tortuosos que a cidadania tem seguido
15 no Brasil. Seguindo-lhe o percurso, o eventual companheiro ou companheira de jornada poderá desenvolver visão própria do
problema. Ao fazê-lo, estará exercendo sua cidadania.
(http://www.do.ufgd.edu.br/mariojunior/https://arquivos.infra-questoes.grancursosonline.com.br/arquivos/cidadania brasil.pdf)
O TEXTO I acima aborda aspectos sociológicos, ligados à formação do povo brasileiro. Sobre os aspectos linguísticos presentes no TEXTO I, responda às próximas 10 questões.
Em "(...) o que acaba afetando o emprego e os gastos do governo, (...)" (linha 9), percebe-se, do ponto de vista dos fatores de textualidade, que
Provas
TEXTO I PARA AS QUESTÕES 01 A 10.
CIDADANIA NO BRASIL
Discorda-se da extensão, profundidade e rapidez do fenômeno, não de sua existência. A internacionalização do sistema
capitalista, iniciada há séculos mas muito acelerada pelos avanços tecnológicos recentes, e a criação de blocos econômicos e
políticos têm causado uma redução do poder dos Estados e uma mudança das identidades nacionais existentes. As várias nações
que compunham o antigo império soviético se transformaram em novos Estados-nação. No caso da Europa Ocidental, os vários
5 Estados-nação se fundem em um grande Estado multinacional. A redução do poder do Estado afeta a natureza dos antigos direitos,
sobretudo dos direitos políticos e sociais.
Se os direitos políticos significam participação no governo, uma diminuição no poder do governo reduz também a
relevância do direito de participar. Por outro lado, a ampliação da competição internacional coloca pressão sobre o custo da mão-
de-obra e sobre as finanças estatais, o que acaba afetando o emprego e os gastos do governo, do qual dependem os direitos
10 sociais. Desse modo, as mudanças recentes têm recolocado em pauta o debate sobre o problema da cidadania, mesmo nos países
em que ele parecia estar razoavelmente resolvido.
Tudo isso mostra a complexidade do problema. O enfrentamento dessa complexidade pode ajudar a identificar melhor as
pedras no caminho da construção democrática. Não ofereço receita da cidadania. Também não escrevo para especialistas. Faço
convite a todos os que se preocupam com a democracia para uma viagem pelos caminhos tortuosos que a cidadania tem seguido
15 no Brasil. Seguindo-lhe o percurso, o eventual companheiro ou companheira de jornada poderá desenvolver visão própria do
problema. Ao fazê-lo, estará exercendo sua cidadania.
(http://www.do.ufgd.edu.br/mariojunior/https://arquivos.infra-questoes.grancursosonline.com.br/arquivos/cidadania brasil.pdf)
O TEXTO I acima aborda aspectos sociológicos, ligados à formação do povo brasileiro. Sobre os aspectos linguísticos presentes no TEXTO I, responda às próximas 10 questões.
A partícula “se” possui, na Língua Portuguesa, várias funções morfossintáticas e vários significados. Sobre tal partícula, presente neste trecho do texto "Se os direitos políticos significam participação no governo, uma diminuição no poder do governo reduz também a relevância do direito de participar." (linhas 7 e 8), pode-se afirmar que se trata de
Provas
TEXTO I PARA AS QUESTÕES 01 A 10.
CIDADANIA NO BRASIL
Discorda-se da extensão, profundidade e rapidez do fenômeno, não de sua existência. A internacionalização do sistema
capitalista, iniciada há séculos mas muito acelerada pelos avanços tecnológicos recentes, e a criação de blocos econômicos e
políticos têm causado uma redução do poder dos Estados e uma mudança das identidades nacionais existentes. As várias nações
que compunham o antigo império soviético se transformaram em novos Estados-nação. No caso da Europa Ocidental, os vários
5 Estados-nação se fundem em um grande Estado multinacional. A redução do poder do Estado afeta a natureza dos antigos direitos,
sobretudo dos direitos políticos e sociais.
Se os direitos políticos significam participação no governo, uma diminuição no poder do governo reduz também a
relevância do direito de participar. Por outro lado, a ampliação da competição internacional coloca pressão sobre o custo da mão-
de-obra e sobre as finanças estatais, o que acaba afetando o emprego e os gastos do governo, do qual dependem os direitos
10 sociais. Desse modo, as mudanças recentes têm recolocado em pauta o debate sobre o problema da cidadania, mesmo nos países
em que ele parecia estar razoavelmente resolvido.
Tudo isso mostra a complexidade do problema. O enfrentamento dessa complexidade pode ajudar a identificar melhor as
pedras no caminho da construção democrática. Não ofereço receita da cidadania. Também não escrevo para especialistas. Faço
convite a todos os que se preocupam com a democracia para uma viagem pelos caminhos tortuosos que a cidadania tem seguido
15 no Brasil. Seguindo-lhe o percurso, o eventual companheiro ou companheira de jornada poderá desenvolver visão própria do
problema. Ao fazê-lo, estará exercendo sua cidadania.
(http://www.do.ufgd.edu.br/mariojunior/https://arquivos.infra-questoes.grancursosonline.com.br/arquivos/cidadania brasil.pdf)
O TEXTO I acima aborda aspectos sociológicos, ligados à formação do povo brasileiro. Sobre os aspectos linguísticos presentes no TEXTO I, responda às próximas 10 questões.
A respeito da oração “iniciada há séculos” (linha 2), podese afirmar que se trata de
Provas
TEXTO I PARA AS QUESTÕES 01 A 10.
CIDADANIA NO BRASIL
Discorda-se da extensão, profundidade e rapidez do fenômeno, não de sua existência. A internacionalização do sistema
capitalista, iniciada há séculos mas muito acelerada pelos avanços tecnológicos recentes, e a criação de blocos econômicos e
políticos têm causado uma redução do poder dos Estados e uma mudança das identidades nacionais existentes. As várias nações
que compunham o antigo império soviético se transformaram em novos Estados-nação. No caso da Europa Ocidental, os vários
5 Estados-nação se fundem em um grande Estado multinacional. A redução do poder do Estado afeta a natureza dos antigos direitos,
sobretudo dos direitos políticos e sociais.
Se os direitos políticos significam participação no governo, uma diminuição no poder do governo reduz também a
relevância do direito de participar. Por outro lado, a ampliação da competição internacional coloca pressão sobre o custo da mão-
de-obra e sobre as finanças estatais, o que acaba afetando o emprego e os gastos do governo, do qual dependem os direitos
10 sociais. Desse modo, as mudanças recentes têm recolocado em pauta o debate sobre o problema da cidadania, mesmo nos países
em que ele parecia estar razoavelmente resolvido.
Tudo isso mostra a complexidade do problema. O enfrentamento dessa complexidade pode ajudar a identificar melhor as
pedras no caminho da construção democrática. Não ofereço receita da cidadania. Também não escrevo para especialistas. Faço
convite a todos os que se preocupam com a democracia para uma viagem pelos caminhos tortuosos que a cidadania tem seguido
15 no Brasil. Seguindo-lhe o percurso, o eventual companheiro ou companheira de jornada poderá desenvolver visão própria do
problema. Ao fazê-lo, estará exercendo sua cidadania.
(http://www.do.ufgd.edu.br/mariojunior/https://arquivos.infra-questoes.grancursosonline.com.br/arquivos/cidadania brasil.pdf)
O TEXTO I acima aborda aspectos sociológicos, ligados à formação do povo brasileiro. Sobre os aspectos linguísticos presentes no TEXTO I, responda às próximas 10 questões.
Acerca do gênero textual constante do TEXTO I, pode-se afirmar que há predominância de tipo
Provas
TEXTO I PARA AS QUESTÕES 01 A 10.
CIDADANIA NO BRASIL
Discorda-se da extensão, profundidade e rapidez do fenômeno, não de sua existência. A internacionalização do sistema
capitalista, iniciada há séculos mas muito acelerada pelos avanços tecnológicos recentes, e a criação de blocos econômicos e
políticos têm causado uma redução do poder dos Estados e uma mudança das identidades nacionais existentes. As várias nações
que compunham o antigo império soviético se transformaram em novos Estados-nação. No caso da Europa Ocidental, os vários
5 Estados-nação se fundem em um grande Estado multinacional. A redução do poder do Estado afeta a natureza dos antigos direitos,
sobretudo dos direitos políticos e sociais.
Se os direitos políticos significam participação no governo, uma diminuição no poder do governo reduz também a
relevância do direito de participar. Por outro lado, a ampliação da competição internacional coloca pressão sobre o custo da mão-
de-obra e sobre as finanças estatais, o que acaba afetando o emprego e os gastos do governo, do qual dependem os direitos
10 sociais. Desse modo, as mudanças recentes têm recolocado em pauta o debate sobre o problema da cidadania, mesmo nos países
em que ele parecia estar razoavelmente resolvido.
Tudo isso mostra a complexidade do problema. O enfrentamento dessa complexidade pode ajudar a identificar melhor as
pedras no caminho da construção democrática. Não ofereço receita da cidadania. Também não escrevo para especialistas. Faço
convite a todos os que se preocupam com a democracia para uma viagem pelos caminhos tortuosos que a cidadania tem seguido
15 no Brasil. Seguindo-lhe o percurso, o eventual companheiro ou companheira de jornada poderá desenvolver visão própria do
problema. Ao fazê-lo, estará exercendo sua cidadania.
(http://www.do.ufgd.edu.br/mariojunior/https://arquivos.infra-questoes.grancursosonline.com.br/arquivos/cidadania brasil.pdf)
O TEXTO I acima aborda aspectos sociológicos, ligados à formação do povo brasileiro. Sobre os aspectos linguísticos presentes no TEXTO I, responda às próximas 10 questões.
Ainda sobre o trecho “Discorda-se da extensão, profundidade e rapidez do fenômeno, não de sua existência.” (linha 1), pode-se afirmar que a partícula “se” trata-se de
Provas
TEXTO I PARA AS QUESTÕES 01 A 10.
CIDADANIA NO BRASIL
Discorda-se da extensão, profundidade e rapidez do fenômeno, não de sua existência. A internacionalização do sistema
capitalista, iniciada há séculos mas muito acelerada pelos avanços tecnológicos recentes, e a criação de blocos econômicos e
políticos têm causado uma redução do poder dos Estados e uma mudança das identidades nacionais existentes. As várias nações
que compunham o antigo império soviético se transformaram em novos Estados-nação. No caso da Europa Ocidental, os vários
5 Estados-nação se fundem em um grande Estado multinacional. A redução do poder do Estado afeta a natureza dos antigos direitos,
sobretudo dos direitos políticos e sociais.
Se os direitos políticos significam participação no governo, uma diminuição no poder do governo reduz também a
relevância do direito de participar. Por outro lado, a ampliação da competição internacional coloca pressão sobre o custo da mão-
de-obra e sobre as finanças estatais, o que acaba afetando o emprego e os gastos do governo, do qual dependem os direitos
10 sociais. Desse modo, as mudanças recentes têm recolocado em pauta o debate sobre o problema da cidadania, mesmo nos países
em que ele parecia estar razoavelmente resolvido.
Tudo isso mostra a complexidade do problema. O enfrentamento dessa complexidade pode ajudar a identificar melhor as
pedras no caminho da construção democrática. Não ofereço receita da cidadania. Também não escrevo para especialistas. Faço
convite a todos os que se preocupam com a democracia para uma viagem pelos caminhos tortuosos que a cidadania tem seguido
15 no Brasil. Seguindo-lhe o percurso, o eventual companheiro ou companheira de jornada poderá desenvolver visão própria do
problema. Ao fazê-lo, estará exercendo sua cidadania.
(http://www.do.ufgd.edu.br/mariojunior/https://arquivos.infra-questoes.grancursosonline.com.br/arquivos/cidadania brasil.pdf)
O TEXTO I acima aborda aspectos sociológicos, ligados à formação do povo brasileiro. Sobre os aspectos linguísticos presentes no TEXTO I, responda às próximas 10 questões.
Em relação ao uso de vírgula, pode-se afirmar que, no trecho “Discorda-se da extensão, profundidade e rapidez do fenômeno, não de sua existência.” (linha 1) a vírgula que antecede o signo linguístico “profundidade” ocorre porque há
Provas
TEXTO I PARA AS QUESTÕES 01 A 10.
CIDADANIA NO BRASIL
Discorda-se da extensão, profundidade e rapidez do fenômeno, não de sua existência. A internacionalização do sistema
capitalista, iniciada há séculos mas muito acelerada pelos avanços tecnológicos recentes, e a criação de blocos econômicos e
políticos têm causado uma redução do poder dos Estados e uma mudança das identidades nacionais existentes. As várias nações
que compunham o antigo império soviético se transformaram em novos Estados-nação. No caso da Europa Ocidental, os vários
5 Estados-nação se fundem em um grande Estado multinacional. A redução do poder do Estado afeta a natureza dos antigos direitos,
sobretudo dos direitos políticos e sociais.
Se os direitos políticos significam participação no governo, uma diminuição no poder do governo reduz também a
relevância do direito de participar. Por outro lado, a ampliação da competição internacional coloca pressão sobre o custo da mão-
de-obra e sobre as finanças estatais, o que acaba afetando o emprego e os gastos do governo, do qual dependem os direitos
10 sociais. Desse modo, as mudanças recentes têm recolocado em pauta o debate sobre o problema da cidadania, mesmo nos países
em que ele parecia estar razoavelmente resolvido.
Tudo isso mostra a complexidade do problema. O enfrentamento dessa complexidade pode ajudar a identificar melhor as
pedras no caminho da construção democrática. Não ofereço receita da cidadania. Também não escrevo para especialistas. Faço
convite a todos os que se preocupam com a democracia para uma viagem pelos caminhos tortuosos que a cidadania tem seguido
15 no Brasil. Seguindo-lhe o percurso, o eventual companheiro ou companheira de jornada poderá desenvolver visão própria do
problema. Ao fazê-lo, estará exercendo sua cidadania.
(http://www.do.ufgd.edu.br/mariojunior/https://arquivos.infra-questoes.grancursosonline.com.br/arquivos/cidadania brasil.pdf)
O TEXTO I acima aborda aspectos sociológicos, ligados à formação do povo brasileiro. Sobre os aspectos linguísticos presentes no TEXTO I, responda às próximas 10 questões.
No título, o termo “NO BRASIL” trata-se de
Provas
- Química OrgânicaFunções Nitrogenadas: Amina, Amida, Nitrila, Isonitrila e Nitro Composto
- Química OrgânicaFunções Oxigenadas: Álcool, Fenol e Enol
- Química OrgânicaFunções Oxigenadas: Cetona, Aldeído, Éter, Éster, Ácido Carboxílico etc.
- Química OrgânicaHidrocarbonetos
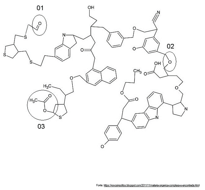
Cientistas da Universidade de Hong Kong conseguiram demonstrar que uma substância orgânica encontrada em abundância no espaço é formada por uma mistura de componentes aromáticos (em anel) e alifáticos (em cadeia), apresentando uma complexidade muito maior do que a esperada para um composto orgânico sintetizado no espaço. Esses compostos orgânicos complexos são similares em estrutura aos compostos orgânicos encontrados em meteoritos e a figura abaixo ilustra um destes compostos.

Provas
Caderno Container