Foram encontradas 30 questões.
Na moldagem por extrusão de filmes tubulares, o aumento na razão de estiramento do filme, mantendo a mesma razão de sopro (ou razão de insuflamento), irá:
Provas
Questão presente nas seguintes provas
Um polímero com cadeias lineares, contendo dois meros diferentes dispostos de maneira aleatória ao longo da cadeia, é um:
Provas
Questão presente nas seguintes provas
Na figura abaixo temos um esquema de uma linha de extrusão para a fabricação de filmes soprados de polietileno. Baseado nesta figura, assinale a alternativa CORRETA:

Provas
Questão presente nas seguintes provas
A obtenção de peças a partir de resinas poliméricas pode ser obtida através de vários processos de transformação. Considerando que as afirmativas abaixo fazem referência a processos de transformação de polímeros, classifique cada uma delas como verdadeira (V) ou falsa (F) e assinale a alternativa que contém a sequência CORRETA, de cima para baixo:
( ) No processamento por extrusão monorrosca de termoplásticos, o movimento imposto pela rosca sobre o polímero gera cisalhamento, que é responsável por cerca de 80% da energia térmica e mecânica necessária para transformar os polímeros.
( ) A injeção de termoplástico é um processo contínuo, com a ocorrência de vários eventos, alguns simultaneamente e outros somente após o termino do evento antecedente.
( ) Basicamente, podemos dividir o processamento por sopro em dois processos: moldagem por injeção-sopro e moldagem por extrusão-sopro. A moldagem por injeção-sopro é semelhante à moldagem por injeção e tem a desvantagem de produzir peças de tamanho limitado e menores que as peças produzidas através da moldagem por extrusão-sopro.
( ) No processamento de injeção de termoplásticos há uma etapa chamada de fase de preenchimento do molde, que se divide em três estágios: preenchimento do molde propriamente dito, pressurização e recalque. Nesta etapa ocorre o ponto de comutação, que é a passagem da pressão de injeção para a pressão de recalque.
Provas
Questão presente nas seguintes provas
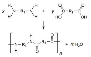
Assinale a alternativa CORRETA que identifica o tipo de polimerização representada na equação química abaixo:

Provas
Questão presente nas seguintes provas
Um polímero termoplástico amorfo, acima de sua temperatura de transição vítrea (Tg), pode ser caracterizado como:
Provas
Questão presente nas seguintes provas
A temperatura de transição vítrea (Tg), que está associada à região amorfa do polímero e é uma transição termodinâmica de segunda ordem, pode ser obtida através da análise de calorimetria exploratória diferencial (DSC). Ela é observada como uma mudança de inclinação da linha base da curva de DSC. A miscibilidade de polímeros pode ser estimada pela comparação das curvas de Tg de cada um dos polímeros que compõem a mistura e das curvas da mistura obtida. A partir da observação da figura abaixo, assinale a alternativa CORRETA.

Provas
Questão presente nas seguintes provas
Uma técnica muito utilizada para caracterização térmica de polímeros é a Análise Termogravimétrica (TG). Nesta técnica, a variação da massa da amostra é determinada em função da temperatura e/ou tempo, enquanto a amostra é submetida a uma programação controlada de temperatura. Das informações listadas nas afirmativas abaixo, indique qual NÃO pode ser obtida através da Análise Termogravimétrica:
Provas
Questão presente nas seguintes provas
As ligações intermoleculares são ligações entre os segmentos das cadeias poliméricas, que aumentam com a presença de grupos polares e diminuem com o aumento da distância entres as moléculas. Em relação às ligações intermoleculares, é correto afirmar que elas NÃO influenciam diretamente no seguinte fenômeno:
Provas
Questão presente nas seguintes provas
Com base no gráfico abaixo, que representa uma análise de calorimetria exploratória diferencial (DSC) para um polímero hipotético, qual a afirmativa CORRETA?

Provas
Questão presente nas seguintes provas
Cadernos
Caderno Container