Foram encontradas 50 questões.
É um fato conhecido que qualquer tipo de onda pode transportar energia sem que
haja transporte de matéria. Portanto, podemos associar a uma onda uma taxa média com a qual a
energia é transmitida. Considere uma onda estabelecida em uma corda propagando-se em um
determinado meio. Se, ao mudar de meio, a velocidade da onda dobrar e sua amplitude for reduzida
pela metade, como a potência média será afetada?
Provas
Questão presente nas seguintes provas
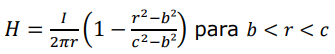
Considere um cabo coaxial infinito no qual se estabelecem duas correntes elétricas
distribuídas de maneira uniforme. O cabo coaxial é composto por um condutor interno cilíndrico de
raio "a" e um condutor externo anelar concêntrico ao condutor interno, com raio interno "b" e raio
externo "c". As correntes elétricas estabelecidas no condutor interno e externo têm o mesmo módulo
igual a I, porém, apresentam sentidos contrários. Deseja-se calcular o campo magnético no interior
do condutor externo utilizando a Lei de Ampère. Assinale a alternativa que descreve corretamente o
módulo do campo magnético (H) no interior do condutor externo em função da distância "r" do eixo do cabo coaxial.
Provas
Questão presente nas seguintes provas
Considere um sistema em que um fluido incompressível atravessa uma tubulação,
representada na Figura 2 abaixo, da esquerda para direita. Suponha que o escoamento é linear e em
regime estacionário e que a viscosidade do fluido é desprezível. Na região superior do tubo, à
esquerda, a seção reta corresponde ao dobro da secção reta do tubo na região inferior, à direita. A
vazão do fluido é constante ao longo de toda a tubulação. Além disso, a região superior encontra-se
a uma altura 4 vezes maior do que a região inferior, em relação a um referencial estabelecido.

Com base nessas informações, qual é a correta relação, aproximada, entre as pressões p1 à esquerda e p2 à direita? (Considere que h = 3,5 m, v1 = 2 m/s, p = 103 kg/m3 e p1 = 105 Pa).

Com base nessas informações, qual é a correta relação, aproximada, entre as pressões p1 à esquerda e p2 à direita? (Considere que h = 3,5 m, v1 = 2 m/s, p = 103 kg/m3 e p1 = 105 Pa).
Provas
Questão presente nas seguintes provas
Considere uma associação de capacitores formada por três capacitores: C1 = 4
F, C2 = 12
F e C3 = 32
F. Os capacitores estão associados da seguinte forma: C1 e C2 estão em série,
e C3 está associado em paralelo com os anteriores. Inicialmente, os capacitores estão descarregados.
Um gerador de tensão V = 150 V é conectado à associação de capacitores, carregando-os até a tensão
de equilíbrio. A partir dessa configuração, deseja-se calcular a energia total acumulada nos
capacitores. Qual o valor aproximado da energia acumulada (U) na associação de capacitores?
Provas
Questão presente nas seguintes provas
Considere uma situação hipotética em que dois cilindros infinitos de material isolante,
com espessura desprezível, são dispostos de forma coaxial e estão carregados positivamente. O
cilindro interno, de raio R1, apresenta uma densidade superficial uniforme de carga
1 ao longo de
sua superfície externa. O cilindro externo, de raio R2, apresenta uma densidade superficial uniforme
de carga
2 ao longo de sua superfície externa. Deseja-se calcular o campo elétrico no interior e no
exterior do cilindro utilizando a equação de Gauss. Assinale a alternativa que descreve corretamente
o campo elétrico (E) em função da distância r do eixo do cilindro.
Provas
Questão presente nas seguintes provas
Um corpo de massa m se desloca em uma trajetória retilínea com velocidade v e
colide perpendicularmente com uma superfície deformável, cujo coeficiente de restituição seja igual a e. A interação entre o corpo e a superfície dura ∆t, e o corpo passa a se deslocar na mesma direção
inicial, mas em sentido contrário. Considerando essa situação, analise as assertivas a seguir:
I. A velocidade do corpo após a colisão é menor do que – v
II. O módulo da força média aplicada ao corpo é menor do que 2mv/∆t
III. A energia cinética do corpo após a colisão é igual a mev²/2
Quais estão corretas?
I. A velocidade do corpo após a colisão é menor do que – v
II. O módulo da força média aplicada ao corpo é menor do que 2mv/∆t
III. A energia cinética do corpo após a colisão é igual a mev²/2
Quais estão corretas?
Provas
Questão presente nas seguintes provas
Considere um carro de massa m fazendo uma curva em uma pista sobreelevada com
atrito, em que o raio da curva é igual a R e o ângulo entre a pista e a horizontal é
. A Figura 1 abaixo
representa tal situação. O coeficiente de atrito estático entre a pista e os pneus é
.
Assinale a alternativa que apresenta a máxima velocidade com a qual o carro pode fazer a curva sem deslizar.
Assinale a alternativa que apresenta a máxima velocidade com a qual o carro pode fazer a curva sem deslizar.
Provas
Questão presente nas seguintes provas
O ponto de Curie é um fenômeno importante em materiais magnéticos. Considere
um material ferromagnético e uma curva de magnetização em função da temperatura. Quando a
temperatura do material é elevada, ocorre uma transição magnética significativa. Nesse sentido,
assinale a alternativa correta sobre o ponto de Curie.
Provas
Questão presente nas seguintes provas
A equação de Schrödinger é uma ferramenta fundamental na descrição do
comportamento de partículas quânticas, como o elétron, em sistemas físicos, como um fio de cobre.
Nesse contexto, podemos usar essa equação para modelar o comportamento de um elétron em um
fio de cobre como uma partícula confinada em um poço finito. No caso em questão, temos uma
partícula confinada em uma caixa unidimensional de comprimento L = 2 m, descrita por uma função
de onda
(x) = Asin ( n
x / L ), onde A é a amplitude da onda e n é um número inteiro positivo que
representa o estado de energia da partícula. Considerando que n = 3 qual é o valor aproximado da
posição x onde a probabilidade de encontrar a partícula é máxima?
Provas
Questão presente nas seguintes provas
Considere um recipiente contendo um gás ideal em equilíbrio termodinâmico. O gás
passa por uma expansão isotérmica reversível, na qual ocorre uma transferência de calor do ambiente.
Como se pode expressar a relação entre o calor recebido pelo gás (Q) e a variação de entropia do gás
(ΔS)?
Provas
Questão presente nas seguintes provas
Cadernos
Caderno Container