Foram encontradas 40 questões.
Em matéria de licitação, analise as assertivas a seguir:
I. Os membros das Comissões de licitação responderão solidariamente por todos os atos praticados pela Comissão, salvo se posição individual divergente estiver devidamente fundamentada e registrada em ata lavrada na reunião em que tiver sido tomada a decisão.
II. A Administração poderá, quando devidamente justificado, descumprir as normas e condições do edital ao qual se acha estritamente vinculada.
III. A Administração acolherá, no todo ou em parte, obra, serviço ou fornecimento executado em desacordo com o contrato.
IV. A Administração não poderá celebrar o contrato com preterição da ordem de classificação das propostas ou com terceiros estranhos ao procedimento licitatório, sob pena de nulidade.
Está(ão) correta(s) apenas a(s) afirmativa(s)
Provas
Questão presente nas seguintes provas
No que diz respeito ao Sistema de Gestão da Ética do Poder Executivo Federal, instituído pelo Decreto n.º 6.029, de 1.º de fevereiro de 2007, analise as afirmativas a seguir:
I. Os integrantes da Rede de Ética se reunirão sob a coordenação da Comissão de Ética Pública, pelo menos duas vezes por ano, em fórum específico, para avaliar o programa e as ações para a promoção da ética na administração pública.
II. Havendo dúvida quanto à legalidade, a Comissão de Ética competente deverá ouvir previamente a área jurídica do órgão ou entidade.
III. Concluída a instrução processual, as Comissões de Ética proferirão decisão conclusiva e fundamentada.
IV. As autoridades competentes não poderão alegar sigilo para deixar de prestar informação solicitada pelas Comissões de Ética.
Estão corretas apenas as afirmativas
Provas
Questão presente nas seguintes provas
Assinale a afirmativa que contradiz norma da Constituição Federativa do Brasil de 1988, e alterações posteriores, referente à Administração Pública.
Provas
Questão presente nas seguintes provas
Analise as afirmativas abaixo, de acordo com a Lei n.º 9.784, de 1999, colocando (V), para as verdadeiras, e (F), para as falsas.
( ) O processo administrativo pode iniciar-se de ofício ou a pedido do interessado.
( ) A autoridade ou servidor que incorrer em impedimento deve comunicar o fato à autoridade competente, sendo ressalvado o direito de atuar no processo.
( ) São inadmissíveis no processo administrativo as provas obtidas por meios ilícitos.
( ) O recurso administrativo tramitará no máximo por quatro instâncias administrativas, salvo disposição legal diversa.
( ) Salvo motivo de força maior devidamente comprovado, os prazos processuais não se suspendem.
A ordem correta, de cima para baixo, é
Provas
Questão presente nas seguintes provas
De acordo com a Lei n.º 8.112, de 1990, os seguintes tempos de serviço serão contados apenas para efeito de aposentadoria e disponibilidade, EXCETO,
Provas
Questão presente nas seguintes provas
Será que o jeitinho brasileiro tem jeito?

O "jeito" ou "jeitinho" pode se referir a soluções que driblam normas, ou que criam artifícios de validade ética duvidável. O jeitinho pode ser também definido como "molejo, jogo de cintura, habilidade de se dar bem em uma situação complicada". Muitos consideram o jeitinho uma verdadeira qualidade do brasileiro, a qual demonstra criatividade e improvisação ao driblar normas e convenções sociais para encontrar alguma solução. Só que, ironicamente, ao resolver um problema, sempre cria outro.
Sob a impunidade do jeitinho, pequenos e grandes delitos se misturam numa linha tênue, como se pudessem ser justificados de alguma forma. Coisas que alguns pensam ser pequenas, como a não devolução do troco, a ocupação do lugar reservado para idosos e deficientes, o ato de furar fila, a famosa “taxinha de urgência”, "agrado por fora” ou "taxa de desembaraço", como já ouvi certa vez, até a compra do voto político, contribuem para a constante evolução da abominável corrupção. Então, será que o jeitinho brasileiro pode ser considerado como uma forma de corrupção? Muitas das vezes, nossa visão de corrupção está fundamentada exclusivamente nos políticos, e não em nosso cotidiano, onde perpassam nossas relações sociais. Dessa maneira, eu diria que o jeitinho se confunde com corrupção e é transgressão, porque ela desiguala o que deveria ser obrigatoriamente tratado com igualdade.
Vale ressaltar que hoje em dia o jeitinho não é mais um modo de agir exclusivo dos oprimidos, pois tem levado executivos estrangeiros que atuam em empresas no Brasil para as salas de treinamento. Não que eles queiram se adaptar a essa realidade. O que eles querem mesmo é entender e tentar driblar essa “malemolência” dos negócios no Brasil. Para esses profissionais, a melhor tradução para esse “jeitinho” é a falta de planejamento, o que significa conviver e trabalhar dentro da precariedade de muitos serviços públicos e sem uma infraestrutura condizente com o potencial do país. Empresários europeus, japoneses e norte-americanos relatam estupefatos que precisam, antes de fazer negócio, firmar laços de camaradagem, tornarem-se amigos do empresário brasileiro como condição sine qua non, para a realização do negócio, pois isso apressa as negociações.
Quer dizer, percebemos que o problema não está na pessoa, mas nos processos que a envolvem. Se o problema fosse com 1 ou 1 dúzia de indivíduos, poderíamos afirmar que seria um problema isolado, mas, quando um percentual alto é adepto do jeitinho, é sinal de que é preciso analisar o que permite esse desvio de comportamento. Só se dá um jeitinho quando existem brechas na lei ou falta de rigor na aplicação destas. Esse ato de se “ajeitar-às-coisas para-se-dar-bem" simplesmente passa por cima de outros indivíduos e traz prejuízos à coletividade. É claro que ninguém quer obter desvantagens, mas não podemos concordar que prevaleça a atuação do egoísmo e do individualismo. E o mais grave de tudo: justificar tudo como “criatividade brasileira” e ainda aplaudir como sendo a cultura do nosso país. Desde 35 quando malandragem é cultura?
As premissas que garantem a popularidade do jeitinho é que todos procuram levar vantagem em tudo o que fazem no seu dia-a-dia e que, portanto, para não ser trapaceado, deve-se fazer o mesmo. Pensemos nos efeitos que esse círculo vicioso tem sobre nós, nossas finanças e nossas vidas. A impressão que nos dá é a de que determinados modelos de transgressões são aceitáveis e tornaram-se normais. Alguns devem lembrar de um comercial antigo no qual o ex-jogador de futebol Gérson aparece empunhando um cigarro e dizendo: "Este é pra você que gosta de levar vantagem em tudo, certo?", dando origem à famosa Lei de Gérson. Assim, parece que jeitinho se tornou norma de convivência na sociedade. Em outras palavras, a cultura de que “malandro é malandro e mané é mané”; isso não é motivo para orgulho, muito menos deve incorporar-se à nossa cultura.
E por fim, para não nos desanimarmos completamente, lembremos, então, de casos que demonstram que nem tudo está perdido. Destaco a história do funcionário da Infraero que devolveu uma maleta com alguns milhares de dólares para o seu dono. Esse fato mostra e comprova que há brasileiros honestos. Pena que a maioria destes “Homens” não estão no poder!
Então existe saída? Sim, existem saídas. Precisamos ser e ensinarmos nossos filhos a serem cidadãos honrados e respeitadores das leis. É preciso uma reflexão individual de como estamos construindo o que mais criticamos e acreditarmos na possibilidade de iniciarmos uma reconstrução da ética individual e nacional. Que tal começarmos a pensar nisso já para a próxima eleição? Não levemos para as urnas o “jeitinho brasileiro” e não votemos no “menos pior”. Não adianta continuar a levar a vida de sempre, fingir que está tudo bem e repetir para si que político é tudo igual e não tem como mudar. Conscientize-se de que o problema também é seu! E meu também! É nosso! Tudo ficará mais fácil, é claro, quando a habilidade de solucionar problemas do jeitinho brasileiro seja direcionada de forma positiva e seja verdadeiramente uma virtude.
Sine qua non: Expressão latina que indica uma cláusula ou condição sem a qual não se fará certa coisa.
Disponível em: <elo.com.br/portal/colunistas/christianelima/ver/229708/sera-que-o-jeitinho-brasileiro-tem-jeito-.html> Acesso em: 10 mar. 2014.
O texto fornece elementos para se afirmar que o jeitinho brasileiro
Provas
Questão presente nas seguintes provas
- Fundamentos de Sistemas OperacionaisSeção Crítica (Região Crítica)
- Gerenciamento de ProcessosComunicação entre Processos (IPC)
- Gerenciamento de ProcessosDeadlock
Sobre os recursos do sistema operacional, está correto afirmar-se que
Provas
Questão presente nas seguintes provas
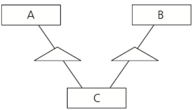
Considere o diagrama a seguir:

Figura 1 – Diagrama entidade relacionamento
Sobre esse diagrama afirma-se que
Provas
Questão presente nas seguintes provas
Qual protocolo de transporte provê um serviço não confiável de transferência de dados, por ser um serviço não orientado para conexão, não oferecendo, assim, garantias de que a mensagem chegará ao receptor?
Provas
Questão presente nas seguintes provas
Em C++ é possível utilizar um operador condicional chamado de operador ternário, nesse considerando o contexto analise o código abaixo.
| 1 | #include <iostream> |
|
2
3
|
#include <stdlib.h>
using namespace std;
|
| 4 | int main() { |
|
5
6
7
8
9
10
|
int x = 10;
if (x == 10)
cout << "x é igual a 10";
else
cout << "x é diferente de 10";
}
|
Tabela: Operador Ternário
É possível substituir a estruturada das linhas 6, 7, 8 e 9 por uma única linha utilizando o operador condicional ternário.
Qual é a sintaxe correta do operador ternário para este caso?
Provas
Questão presente nas seguintes provas
Cadernos
Caderno Container