Foram encontradas 217 questões.
- Química OrgânicaIsomeria Plana e Espacial
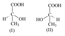
- Química OrgânicaPropriedades Físicas dos Compostos Orgânicos
Compostos orgânicos podem apresentar as mesmas fórmulas moleculares e propriedades físicas e químicas diferentes. Observe as duas estruturas abaixo e marque a opção correta.

Provas
Provas
- Química InorgânicaSoluções e Substâncias InorgânicasSoluções: características, tipos de concentração, diluição, mistura, titulação e soluções coloidais
Provas
A Tabela abaixo traz os pontos de fusão e ebulição, em ºC, sob pressão de 1 atm, de alguns materiais. Com base nas informações da tabela, assinale a alternativa que indica quais materiais estão no estado de agregação LÍQUIDO à temperatura ambiente (cerca de 25ºC)

Provas
Os servidores do IFTO dispõem de salas de convivência e copas onde podem fazer suas refeições, descansar e, frequentemente, tomar um café especial preparado pela equipe da copa, Senhor Germânio e Dona Gadolínea. O técnico de laboratório percebeu que o Senhor Germânio e Dona Gadolínea preparam café utilizando métodos diferentes.
Método do Senhor Germânio:
1. Aquece a água
2. Adiciona açúcar à água quente
3. Adiciona o pó de café na água quente e mistura
4. Coa o café com coador de pano.
Método de Dona Gadolínea:
1. Aquece a água
2. Adiciona açúcar à água quente
3. Coloca o pó de café no coador
4. Transfere a água quente com açúcar para o coador de pano.
Analisando os métodos de cada um, pode-se afirmar que:
Provas
- Química OrgânicaFunções Oxigenadas: Álcool, Fenol e Enol
- Química OrgânicaFunções Oxigenadas: Cetona, Aldeído, Éter, Éster, Ácido Carboxílico etc.
Provas
Provas
Em um recipiente fechado, mantido a uma temperatura de 40°C, são inseridos os gases monóxido de carbono e gás oxigênio, cujas pressões parciais foram determinadas respectivamente em 2,1 e 1,6 atm. Observando a reação química do processo e sabendo-se que no momento que o equilíbrio químico foi atingido a pressão parcial do gás oxigênio era de 0,6 atm, podemos informar que a constante de equilíbrio Kp vale, aproximadamente:
2CO (g) + O2 (g) ↔ 2CO2 (g)
Provas
5 g de gás hidrogênio (H2) foram misturados com 32 g de gás oxigênio (O2), em um recipiente de 10 L a 27 °C. Considerando o comportamento da mistura como o modelo de gás ideal, podemos informar que a pressão total do sistema em atmosfera vale:
Adotar nessa questão: R = 0,082 atm.L. mol-1 . K-1; T(K) = 273 + T(°C); Massas atômicas: H = 1 e O = 16.
Provas
- Química CinéticaRepresentação das Transformações Químicas
- Química InorgânicaSoluções e Substâncias InorgânicasSoluções: características, tipos de concentração, diluição, mistura, titulação e soluções coloidais
A massa de hidróxido de sódio necessária à preparação de 500 mL de uma solução 0,2 mol/L, é:
Adotar nessa questão, massas atômicas: H = 1, O = 16, Na = 23.
Provas
Caderno Container