Magna Concursos

Foram encontradas 40 questões.

3267928 Ano: 2024
Disciplina: Matemática
Banca: Verbena
Orgão: IFN-MG
Qual é o intervalo formado por todos os valores de p para os quais a série Enunciado 3649761-1 converge?
 

Provas

Questão presente nas seguintes provas
3267927 Ano: 2024
Disciplina: Matemática
Banca: Verbena
Orgão: IFN-MG
Sejam α, β, C números reais e m um número natural fixado. A função y(x) = αemx + eβx + Cxeβx é uma solução da equação diferencial de segunda ordem my'' + 2y' + 1/m y = 0, para todo C ∈ ℝ, se, e somente se, os valores de α, β são dados, respectivamente, por
 

Provas

Questão presente nas seguintes provas
3267926 Ano: 2024
Disciplina: Matemática
Banca: Verbena
Orgão: IFN-MG
A séries de Taylor da função f(x) = cos(3x) em torno de x = 0 é dada por
 

Provas

Questão presente nas seguintes provas
3267925 Ano: 2024
Disciplina: Matemática
Banca: Verbena
Orgão: IFN-MG
O intervalo formado por todos os valores reais de s para os quais a integral imprópria Enunciado 3649758-1 converge é dado por
 

Provas

Questão presente nas seguintes provas
3267924 Ano: 2024
Disciplina: Matemática
Banca: Verbena
Orgão: IFN-MG
A equação diferencial (4x3 y + y3 + ex)dx + (ax4 + 3y2x + βx3y + ey2 )dy = 0, na qual α, β são números reais, é uma equação diferencial exata se, e somente se, os valores de α, β são dados, respectivamente, por
 

Provas

Questão presente nas seguintes provas
3267923 Ano: 2024
Disciplina: Matemática
Banca: Verbena
Orgão: IFN-MG
Seja y' (x) + n/x y(x) = Q(x) uma equação diferencial de primeira ordem, em que n é um número natural e Q é uma função polinomial. Qual é a única solução desta equação diferencial que satisfaz a condição y(1) = 2?
 

Provas

Questão presente nas seguintes provas
3267922 Ano: 2024
Disciplina: Matemática
Banca: Verbena
Orgão: IFN-MG
O limite da função f, dada por f(x, y) = x2y / x2+6y2 se (x, y) ≠ (0,0) e f(0,0) = 0, quando (x, y) tende a (0,0) é dado por
 

Provas

Questão presente nas seguintes provas
3267921 Ano: 2024
Disciplina: Matemática
Banca: Verbena
Orgão: IFN-MG
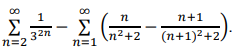
Seja L = Enunciado 3649754-1 Qual é o valor de L?
 

Provas

Questão presente nas seguintes provas
3267920 Ano: 2024
Disciplina: Matemática
Banca: Verbena
Orgão: IFN-MG
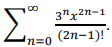
Se Enunciado 3649753-1 então o valor de F' (1) é
 

Provas

Questão presente nas seguintes provas
3267919 Ano: 2024
Disciplina: Matemática
Banca: Verbena
Orgão: IFN-MG
Se f(x) = ex((cos(x))3+2) / x2+1 , então f' (π/2) pode ser escrita na seguinte forma:
Enunciado 3649752-1 Quais são os valores de α, β, γ , respectivamente?
 

Provas

Questão presente nas seguintes provas