Foram encontradas 70 questões.
A energia de ativação de uma reação pode ser determinada a partir da equação da reta obtida de um gráfico feito a partir dos valores do log das constantes de velocidade da reação em várias temperaturas. Para uma determinada reação de primeira ordem, foi obtida a seguinte equação com este método: y = 10 - 7000 x.
A energia de ativação desta reação calculada, em kJ mol-1 é:
Dado: R = 8,3 J mol-1 K -1
Provas
Uma alíquota de 25,00 de uma solução de H2SO4 é titulada por 22,00 mL de solução de NaOH 0,02500 mol L-1. A concentração de H2SO4 na solução, em mol L-1, é:
Provas
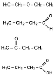
As funções orgânicas das substâncias listadas a seguir são, respectivamente, de cima para baixo:

Provas
Com relação à preparação e ao armazenamento de soluções no laboratório, é CORRETO afirmar que:
Provas
Uma alíquota de 50,00 mL de uma solução de Cloreto de Bário, BaCl2, contendo 0,4000 g do sal em 500 mL foi diluída a 1L. Depois, uma alíquota de 25,00 mL desta solução foi diluída a 500 mL. A concentração de BaCl2 na solução final, em !$ \mu !$g mL-1, é:
Provas
Para a reação:
SnO2(s) + 2 H2(g) !$ \Leftrightarrow !$ Sn(s) + 2 H2O (g)
!$ \Delta !$H = 97 J
A variação citada abaixo que afasta o sistema do equilíbrio é:
Provas
A pressão osmótica, em atm, de uma solução de uréia, CO(NH2)2, 0,02 mol L-1, a 27oC, é:
Provas
Dadas as reações e suas constantes de equilíbrio:
2 SO2 + O2 !$ \Leftrightarrow !$ 2 SO3 !$ \quad !$ Kc = 7
2 NO + O2 !$ \Leftrightarrow !$ 2 NO2 !$ \quad !$ Kc = 4
A constante de equilíbrio para a reação abaixo é:
SO2 + NO2 !$ \Leftrightarrow !$ SO3 + NO
Provas
A fração de um soluto A, extraído de 40 mL de uma fase aquosa em 20 mL de um solvente orgânico, quando a razão de distribuição do soluto é 60, é:
Provas
Assinalar a alternativa ERRADA:
Provas
Caderno Container