Foram encontradas 80 questões.
1375356
Ano: 2008
Disciplina: Inglês (Língua Inglesa)
Banca: GPG Concursos
Orgão: Polícia Científica-SC
Disciplina: Inglês (Língua Inglesa)
Banca: GPG Concursos
Orgão: Polícia Científica-SC
Provas:
More than 200 prisoners have been exonerated since 1989 by DNA evidence — almost all of whom had been incarcerated for murder or rape.
DNA probe analysis grew out of basic genetic research, with far different aims. A kind of serendipitous gift to police science, it takes advantage of a peculiarity within the human genetic code. Along the three feet of the double helix in each complete DNA molecule there exists, in addition to the tens of thousands of proteincoding genes, a so-far indecipherable wilderness called the intron. The intron, although it seems mostly chaotic, nevertheless contains certain repetitive sequences of the genetic alphabet, which geneticists sometimes call "stutters" or "burps."
To exploit these stutters for identification purposes, scientists use a technique that forms this genetic material into a distinctive pattern, similar to the universal bar codes on retail merchandise.
The degree of certainty that can be attained depends on a number of factors, one of which is the number of probes applied. A single probe might produce a pattern unique to one person in a hundred. The application of a second probe with the same discriminating power then produces a combined pattern unique to one person in ten thousand. After several more probes, the final pattern might be unique to one person in a trillion, two hundred times as many people as exist on earth today. If this pattern matches the bar code for the suspect's DNA, the test has produced an identification every bit as reliable as a human fingerprint.
According to the text it is correct to say that
Provas
Questão presente nas seguintes provas
Hoje, no Brasil, constatamos que existe uma grande diferença entre o modelo clássico de fazer perícia e aquele preconizado pela Instituição Criminalística Brasileira. Pelo modelo desta, o perito oficial goza igualmente de todas as prerrogativas dadas pelo Direito, exceto de livre-arbítrio, o qual é substituído pelos ditames dela. Nem sempre encontramos essa doutrina escrita, mas ela é transmitida de perito para perito; reúne uma série de normas e princípios que condicionam o perito oficial a agir segundo a visão daquela doutrina e não conforme sua consciência individual.
A Doutrina em si, isolada, é ótimo modelo para ser aplicado em perícias de qualquer área científica, por qualquer indivíduo ou entidade, seja ela pública ou privada; porém observa-se que somente será obedecida se o perito estiver “comprometido”, “obrigado”, em forma da lei, pela Instituição Criminalística Brasileira, que em si é a materialização do Instituto do Corpo de Delito (Corpus Delicti), previsto formalmente no Código de Processo Penal.
As instituições de polícia nos demais países ocidentais trazem um ramo de Polícia Científica, também denominada Polícia Técnica, que desenvolve os trabalhos da criminalística. Nesses países, esse ramo se identifica com os valores abrangidos pela Instituição de Polícia, porque o perito atua quase como uma “testemunha técnica”; é livre para agir conforme sua consciência, em prol dessa Instituição.
(Adapt. de A criminalística brasileira – sua doutrina. In: http://www.igp.sc.gov.br )
Observação: Na questão, quando houver um número indicado entre parênteses, este refere-se à linha, no texto, em que se encontra a palavra ou expressão apresentada.
Assinale a alternativa ERRADA.
Provas
Questão presente nas seguintes provas
Dado um filtro passa-faixa cuja freqüência de corte inicial é 900MHz e a freqüência de ressonância é 930MHz. Calcule qual é sua Banda Passante.
Provas
Questão presente nas seguintes provas
1373910
Ano: 2008
Disciplina: Inglês (Língua Inglesa)
Banca: GPG Concursos
Orgão: Polícia Científica-SC
Disciplina: Inglês (Língua Inglesa)
Banca: GPG Concursos
Orgão: Polícia Científica-SC
Provas:
The Ilha de Santa Catarina, aka Florianópolis, is known throughout Brazil for its miles and miles of gorgeous beaches, excellent seafood, and traditional Azorean fishing villages. Figuring out the names may be the only complicated part of a visit to this most laid-back of Brazilian beach destinations. Florianópolis, the city, is the capital of the state of Santa Catarina. Florianópolis is also located on the island of Santa Catarina. Island and city together are usually just referred to as Florianópolis, which people often then shorten to Floripa. Confused? Don't worry, it's the beaches that matter.
The adjective laid-back, used to describe the Ilha de Santa Catarina, means:
Provas
Questão presente nas seguintes provas
Dado o gráfico, que mostra a resposta em frequência de um filtro na figura abaixo, nomeie I, II, III, IV e V, respectivamente, com seus significados corretos:

Provas
Questão presente nas seguintes provas
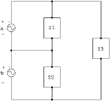
No circuito abaixo, as fontes de tensão fasoriais Va e Vb apresentam módulo igual a 250 V (eficaz) e ângulo igual a zero grau. O dipolo Z1 possui fator de potência atrasado, desenvolvendo potência ativa de 1,2 kW e potência reativa de 240 VAr. O dipolo Z2 apresenta fator de potência FP = 0,96 adiantado e desenvolve potência aparente de 1 kVA. O dipolo Z3 é formado pela associação em paralelo de um resistor com resistência de 6,25 !$ \Omega !$ e um indutor com reatância de 25 !$ \Omega !$. Pode-se afirmar que o módulo das potências média e reativa das fontes Va e Vb valem, respectivamente:

Provas
Questão presente nas seguintes provas
Considerando-se o circuito lógico combinacional mostrado na figura abaixo, tendo como entrada as variáveis A,B e C e como saída a variável X, qual das expressões abaixo pode representar o resultado de saída desse circuito?

Provas
Questão presente nas seguintes provas
Hoje, no Brasil, constatamos que existe uma grande diferença entre o modelo clássico de fazer perícia e aquele preconizado pela Instituição Criminalística Brasileira. Pelo modelo desta, o perito oficial goza igualmente de todas as prerrogativas dadas pelo Direito, exceto de livre-arbítrio, o qual é substituído pelos ditames dela. Nem sempre encontramos essa doutrina escrita, mas ela é transmitida de perito para perito; reúne uma série de normas e princípios que condicionam o perito oficial a agir segundo a visão daquela doutrina e não conforme sua consciência individual.
A Doutrina em si, isolada, é ótimo modelo para ser aplicado em perícias de qualquer área científica, por qualquer indivíduo ou entidade, seja ela pública ou privada; porém observa-se que somente será obedecida se o perito estiver “comprometido”, “obrigado”, em forma da lei, pela Instituição Criminalística Brasileira, que em si é a materialização do Instituto do Corpo de Delito (Corpus Delicti), previsto formalmente no Código de Processo Penal.
As instituições de polícia nos demais países ocidentais trazem um ramo de Polícia Científica, também denominada Polícia Técnica, que desenvolve os trabalhos da criminalística. Nesses países, esse ramo se identifica com os valores abrangidos pela Instituição de Polícia, porque o perito atua quase como uma “testemunha técnica”; é livre para agir conforme sua consciência, em prol dessa Instituição.
(Adapt. de A criminalística brasileira – sua doutrina. In: http://www.igp.sc.gov.br )
Observação: Na questão, quando houver um número indicado entre parênteses, este refere-se à linha, no texto, em que se encontra a palavra ou expressão apresentada.
O significado de uma palavra depende da frase em que ela se encontra. O mesmo se aplica ao valor do que. No texto acima, o que é pronome relativo; em ambos os casos equivale a a qual. Assinale com V ou F, conforme as afirmativas forem verdadeiras ou falsas.
( ) Para mim, este concurso tem um quê de esperança. = substantivo
( ) Você tem que ler mais os bons autores brasileiros! = preposição
( ) Quê! Você também sempre aspirou à carreira de perito criminal? = advérbio
( ) Estudou tanto que será aprovado. = conjunção
( ) Quase que Franz e Susane não conseguem naturalização alemã. = partícula de realce.
( ) Que longe é o local destas provas! = interjeição
( ) Você tem que ler mais os bons autores brasileiros! = preposição
( ) Quê! Você também sempre aspirou à carreira de perito criminal? = advérbio
( ) Estudou tanto que será aprovado. = conjunção
( ) Quase que Franz e Susane não conseguem naturalização alemã. = partícula de realce.
( ) Que longe é o local destas provas! = interjeição
Assinale a alternativa correta, de cima para baixo.
Provas
Questão presente nas seguintes provas
No circuito abaixo, a fonte de tensão contínua e a fonte de corrente contínua são ideais e independentes. As chaves ideais 1 e 2 atuam simultaneamente. Quando a chave 1 é fechada, a chave 2 é aberta. A chave 1 havia permanecido aberta e a chave 2 havia permanecido fechada por um longo tempo, tal que o regime permanente (ou estado estacionário) já tinha sido atingido. Então, no instante arbitrariamente indicado como t = 0 s a chave 1 é fechada e a chave 2 abre. Neste caso, a corrente iL(t), indicada no circuito, para t !$ \ge !$ 0 s apresentará:

Provas
Questão presente nas seguintes provas
1410375
Ano: 2008
Disciplina: Direito Constitucional
Banca: GPG Concursos
Orgão: Polícia Científica-SC
Disciplina: Direito Constitucional
Banca: GPG Concursos
Orgão: Polícia Científica-SC
Provas:
Assinale a alternativa correta:
Provas
Questão presente nas seguintes provas
Cadernos
Caderno Container