Foram encontradas 60 questões.
A acreditação de um laboratório de medidas elétricas, que executa calibração de voltímetros, corresponde ao
Provas
Questão presente nas seguintes provas
Considere que um técnico tenha apresentado como resultado da medição da diferença de potencial elétrico (ddp) o valor de 119 V. Considerando que o instrumento tinha resolução de 0,1 V e o mostrador digital apontava o valor de 118,8 V, é correto afirmar que o valor apresentado da ddp foi
Provas
Questão presente nas seguintes provas
A respeito da resposta de circuitos lineares contendo resistor, capacitor e indutor, todos elementos ideais, assinale a opção correta.
Provas
Questão presente nas seguintes provas
Assinale a opção correta com relação à potência elétrica em circuitos CA.
Provas
Questão presente nas seguintes provas
Com relação a circuitos elétricos em corrente alternada, assinale a opção correta.
Provas
Questão presente nas seguintes provas
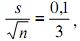
Nove contêineres de um grande carregamento foram inspecionados quanto à quantidade, em litros, de ácido sulfúrico, e apresentaram média x igual a 10 L e desvio padrão s igual a 0,1 L. Em um relatório passado, um histograma foi apresentado sugerindo que a quantidade de ácido sulfúrico seguia distribuição normal. O intervalo de 95% de confiança para a quantidade média de ácido sulfúrico é [9,9233; 10,0767], com valores dados em litros.
Com relação ao texto em referência, é correto afirmar que o erro padrão utilizado para o cálculo do desvio padrão é dado por
Provas
Questão presente nas seguintes provas

Considere os símbolos mostrados acima. Com relação às informações apresentadas, assinale a opção que indica corretamente e na sequência devida a associação nome e símbolo.
Provas
Questão presente nas seguintes provas
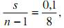
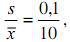
Um processo químico gera uma característica de qualidade que pode ser medida em duas linhas de produção. Como o interesse é garantir que as duas linhas produzam sob o mesmo nível de variabilidade, um técnico tomou 15 medidas da linha 1, obtendo um desvio-padrão amostral de
. Na linha 2, ele obteve um desvio-padrão de
, com base em 12 medidas. Utilizando um software estatístico, ele obteve um intervalo de 98% de confiança para
igual a [ 1,851; 7,549].
Com base no texto, é correto concluir, quanto à variabilidade das linhas de produção, que
. Na linha 2, ele obteve um desvio-padrão de
, com base em 12 medidas. Utilizando um software estatístico, ele obteve um intervalo de 98% de confiança para
igual a [ 1,851; 7,549].Com base no texto, é correto concluir, quanto à variabilidade das linhas de produção, que
Provas
Questão presente nas seguintes provas

Provas
Questão presente nas seguintes provas
Considerando que um técnico tenha realizado medições de corrente elétrica e de diferença de potencial elétrico (ddp) para calcular a potência elétrica, e sabendo que os valores determinados foram 250 mA para a corrente elétrica e 100 mV para a ddp, é correto afirmar que a potência elétrica calculada equivale a
Provas
Questão presente nas seguintes provas
Cadernos
Caderno Container