Foram encontradas 70 questões.
Os modelos de alguns dispositivos eletrônicos apresentam uma relação entre a grandeza de entrada e a de saída do tipo y = AeBx, em que y é a variável de saída, x é a variável de entrada e A e B são constantes reais. A respeito dessa relação exponencial, julgue os seguintes itens.
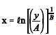
em que Rn é a função logarítmica natural.Provas
Os modelos de alguns dispositivos eletrônicos apresentam uma relação entre a grandeza de entrada e a de saída do tipo y = AeBx, em que y é a variável de saída, x é a variável de entrada e A e B são constantes reais. A respeito dessa relação exponencial, julgue os seguintes itens.
Se x = 0, então y = A.
Provas
Os modelos de alguns dispositivos eletrônicos apresentam uma relação entre a grandeza de entrada e a de saída do tipo y = AeBx, em que y é a variável de saída, x é a variável de entrada e A e B são constantes reais. A respeito dessa relação exponencial, julgue os seguintes itens.
![]()
Provas
Os modelos de alguns dispositivos eletrônicos apresentam uma relação entre a grandeza de entrada e a de saída do tipo y = AeBx, em que y é a variável de saída, x é a variável de entrada e A e B são constantes reais. A respeito dessa relação exponencial, julgue os seguintes itens.
Provas
O ente fundamental no estudo da eletricidade é a carga elétrica. O domínio e a manipulação desse ente pelos mais diversos dispositivos elétricos e eletrônicos é que permite a construção de equipamentos para as mais diversas aplicações. A respeito de cargas e de campos elétricos, julgue os itens a seguir.
Se a carga total que atravessa, a uma taxa constante, a seção transversal de um condutor no intervalo de tempo t é igual q, o valor da corrente elétrica em ampere (ou coulomb/segundo) que atravessa o condutor será dada por ![]()
Provas
O ente fundamental no estudo da eletricidade é a carga elétrica. O domínio e a manipulação desse ente pelos mais diversos dispositivos elétricos e eletrônicos é que permite a construção de equipamentos para as mais diversas aplicações. A respeito de cargas e de campos elétricos, julgue os itens a seguir.
A unidade de carga elétrica no sistema MKS é o coulomb.
Provas
O ente fundamental no estudo da eletricidade é a carga elétrica. O domínio e a manipulação desse ente pelos mais diversos dispositivos elétricos e eletrônicos é que permite a construção de equipamentos para as mais diversas aplicações. A respeito de cargas e de campos elétricos, julgue os itens a seguir.
Quanto menor a intensidade do campo elétrico maior o módulo da força aplicada sobre uma carga elétrica imersa nesse campo.
Provas
O ente fundamental no estudo da eletricidade é a carga elétrica. O domínio e a manipulação desse ente pelos mais diversos dispositivos elétricos e eletrônicos é que permite a construção de equipamentos para as mais diversas aplicações. A respeito de cargas e de campos elétricos, julgue os itens a seguir.
Uma carga elétrica imersa em um campo elétrico fica sob a ação de uma força, e por causa dessa força uma carga positiva se move na direção e no sentido das linhas de campo, e uma carga negativa, em sentido contrário a essas linhas.
Provas
O ente fundamental no estudo da eletricidade é a carga elétrica. O domínio e a manipulação desse ente pelos mais diversos dispositivos elétricos e eletrônicos é que permite a construção de equipamentos para as mais diversas aplicações. A respeito de cargas e de campos elétricos, julgue os itens a seguir.
Cargas elétricas positivas se atraem e cargas elétricas negativas se repelem.
Provas

Os circuitos de I a IV, cujos diagramas estão mostrados acima, utilizam diodos semicondutores que, quando estão em condução direta, apresentam queda de tensão constante e igual a 0,8 V entre o ânodo e o cátodo. Suponha que esses circuitos façam parte de um equipamento e que, durante procedimento de manutenção corretiva, as tensões indicadas por V m são medidas com o objetivo de tirar conclusões a respeito da existência ou não de defeito em algum dispositivo semicondutor. Considere que o defeito em um diodo é caracterizado pelo fato de ele estar em curto-circuito ou em circuito aberto, quando era esperado que o dispositivo estivesse conduzindo. Considere também que as resistências existentes nesses circuitos não apresentem alteração em seus valores. Diante do exposto, julgue os seguintes itens.
No circuito II, o diodo D1 está com defeito.
Provas
Caderno Container