Foram encontradas 1.803 questões.

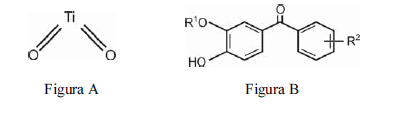
Na busca por um produto para proteção solar eficiente e de aceitação pela população, um pesquisador propôs o uso de um composto já utilizado como filtro solar (figura A) em associação com um derivado de um novo composto que ele acabara de isolar (figura B).
Com referência às estruturas químicas apresentadas nas figuras A e B e à sua atuação como filtro solar, julgue os seguintes itens.
Provas

A composição apresentada acima faz parte de um pedido de patente de um óleo fixo vegetal (OFV 01.2014), isolado de uma espécie amazônica. Trata-se de um produto que deverá ser licenciado para ser comercializado como desodorante natural.
Com relação às informações hipotéticas acima, julgue os itens de 57 a 62.
Provas

A composição apresentada acima faz parte de um pedido de patente de um óleo fixo vegetal (OFV 01.2014), isolado de uma espécie amazônica. Trata-se de um produto que deverá ser licenciado para ser comercializado como desodorante natural.
Com relação às informações hipotéticas acima, julgue os itens de 57 a 62.
Provas

A composição apresentada acima faz parte de um pedido de patente de um óleo fixo vegetal (OFV 01.2014), isolado de uma espécie amazônica. Trata-se de um produto que deverá ser licenciado para ser comercializado como desodorante natural.
Com relação às informações hipotéticas acima, julgue os itens de 57 a 62.
Provas

A composição apresentada acima faz parte de um pedido de patente de um óleo fixo vegetal (OFV 01.2014), isolado de uma espécie amazônica. Trata-se de um produto que deverá ser licenciado para ser comercializado como desodorante natural.
Com relação às informações hipotéticas acima, julgue os itens de 57 a 62.
Provas

A composição apresentada acima faz parte de um pedido de patente de um óleo fixo vegetal (OFV 01.2014), isolado de uma espécie amazônica. Trata-se de um produto que deverá ser licenciado para ser comercializado como desodorante natural.
Com relação às informações hipotéticas acima, julgue os itens de 57 a 62.
Provas
O INPI recebeu o pedido de patente de uma formulação líquida emulsionada de uso cosmético cujo componente ativo é um óleo fixo natural, recém-isolado pelos pesquisadores, com propriedades hidratantes para a pele. Os autores afirmam que a formulação é bastante estável e que, além do óleo, ela apresenta uma porcentagem relativamente alta (40% v/v) de tensoativo e cotensoativo não iônicos.
Com referência a essa situação hipotética, julgue os itens a seguir.
Provas
O INPI recebeu o pedido de patente de uma formulação líquida emulsionada de uso cosmético cujo componente ativo é um óleo fixo natural, recém-isolado pelos pesquisadores, com propriedades hidratantes para a pele. Os autores afirmam que a formulação é bastante estável e que, além do óleo, ela apresenta uma porcentagem relativamente alta (40% v/v) de tensoativo e cotensoativo não iônicos.
Com referência a essa situação hipotética, julgue os itens a seguir.
Provas
O INPI recebeu o pedido de patente de uma formulação líquida emulsionada de uso cosmético cujo componente ativo é um óleo fixo natural, recém-isolado pelos pesquisadores, com propriedades hidratantes para a pele. Os autores afirmam que a formulação é bastante estável e que, além do óleo, ela apresenta uma porcentagem relativamente alta (40% v/v) de tensoativo e cotensoativo não iônicos.
Com referência a essa situação hipotética, julgue os itens a seguir.
Provas
O INPI recebeu o pedido de patente de uma formulação líquida emulsionada de uso cosmético cujo componente ativo é um óleo fixo natural, recém-isolado pelos pesquisadores, com propriedades hidratantes para a pele. Os autores afirmam que a formulação é bastante estável e que, além do óleo, ela apresenta uma porcentagem relativamente alta (40% v/v) de tensoativo e cotensoativo não iônicos.
Com referência a essa situação hipotética, julgue os itens a seguir.
Provas
Caderno Container