Foram encontradas 1.803 questões.
Considere que o sistema de partículas mostrado na figura abaixo seja formado por massas de material homogêneo e de mesma densidade: as massas m1 = 2 kg, m2 = 3 kg e m3 = 4 kg estão localizadas nos pontos de coordenadas (1, 4), (3, 2) e (4, 1), respectivamente, e as distâncias estão em centímetros. Nessa configuração, o centro de gravidade do sistema está no ponto de coordenadas (2, 2).

Provas
Provas

Considerando que as figuras A e B acima representam duas situações de desbalanceamento de um rotor, julgue os itens que se seguem.
Provas

Considerando que as figuras A e B acima representam duas situações de desbalanceamento de um rotor, julgue os itens que se seguem.
Provas
Provas
Provas
A medida de aceleração com acelerômetros piezoresistivos, como o esquematizado na figura abaixo, é basicamente realizada de forma indireta, medindo-se deformações. Uma ponte de extensômetros de semicondutor monitora a flexão da suspensão elástica de uma massa inercial. A mudança da resistência elétrica do extensômetro é proporcional à deformação da suspensão elástica que, por sua vez, é proporcional à aceleração.

Provas
Provas
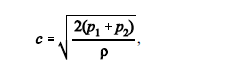
O tubo de Pitot, muito usado para a medição da velocidade dos aviões no ar, tem como princípio básico de funcionamento o fato de que a velocidade do escoamento é função da soma das pressões estática e total no escoamento. Medindo-se os dois valores de pressão e somando-os, pode-se calcular a velocidade do escoamento por meio da equação

em que p1 = pressão total, p2 = pressão estática e ρ = massa específica do fluido.
Provas
O esquema abaixo representa um circuito utilizado para a medida de temperatura com termômetro de resistência ou RTD com ligação a dois fios. O princípio de medição se baseia no fato de a resistência elétrica Rbulbo aumentar com o aumento da temperatura.

Provas
Caderno Container