Foram encontradas 1.803 questões.
Provas
Provas
Provas
Provas

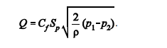
A figura acima mostra o esquema para a realização da medida de vazão de um escoamento de um fluido em que se utiliza placa de orifício. Com relação ao esquema apresentado nesse processo de medida, julgue os itens a seguir.
A medida da vazão do escoamento Q é um processo de medição indireta, pois só pode ser determinada a partir das medidas de pressão antes e depois da placa de orifício por meio da equação

Nessa equação, o coeficiente de fluxo Cf é determinado experimentalmente, Sp é a área do furo da placa e ρ é a densidade do fluido.
Provas

A figura acima mostra o esquema para a realização da medida de vazão de um escoamento de um fluido em que se utiliza placa de orifício. Com relação ao esquema apresentado nesse processo de medida, julgue os itens a seguir.
Provas
Muitas propriedades dos materiais estão intrinsecamente ligadas a suas microestruturas. Materiais, como o óxido de zircônio, podem apresentar-se quebradiços, ser utilizados na forma de pó e servir como sensores de presença de oxigênio. Para isso, será necessário algum tratamento térmico ou inclusão de um elemento de liga que funcione como modificador da sua microestrutura. Dessa forma, os diagramas de fases podem fornecer informações importantes sobre as fases presentes, por exemplo, em uma liga metálica. A figura abaixo apresenta o diagrama de fases no equilíbrio para ligas de Ag-Cu.

Considerando as informações e o diagrama de fases acima apresentados, julgue os itens subsequentes.
Provas
Muitas propriedades dos materiais estão intrinsecamente ligadas a suas microestruturas. Materiais, como o óxido de zircônio, podem apresentar-se quebradiços, ser utilizados na forma de pó e servir como sensores de presença de oxigênio. Para isso, será necessário algum tratamento térmico ou inclusão de um elemento de liga que funcione como modificador da sua microestrutura. Dessa forma, os diagramas de fases podem fornecer informações importantes sobre as fases presentes, por exemplo, em uma liga metálica. A figura abaixo apresenta o diagrama de fases no equilíbrio para ligas de Ag-Cu.

Considerando as informações e o diagrama de fases acima apresentados, julgue os itens subsequentes.
Provas
Muitas propriedades dos materiais estão intrinsecamente ligadas a suas microestruturas. Materiais, como o óxido de zircônio, podem apresentar-se quebradiços, ser utilizados na forma de pó e servir como sensores de presença de oxigênio. Para isso, será necessário algum tratamento térmico ou inclusão de um elemento de liga que funcione como modificador da sua microestrutura. Dessa forma, os diagramas de fases podem fornecer informações importantes sobre as fases presentes, por exemplo, em uma liga metálica. A figura abaixo apresenta o diagrama de fases no equilíbrio para ligas de Ag-Cu.

Considerando as informações e o diagrama de fases acima apresentados, julgue os itens subsequentes.
Provas
Muitas propriedades dos materiais estão intrinsecamente ligadas a suas microestruturas. Materiais, como o óxido de zircônio, podem apresentar-se quebradiços, ser utilizados na forma de pó e servir como sensores de presença de oxigênio. Para isso, será necessário algum tratamento térmico ou inclusão de um elemento de liga que funcione como modificador da sua microestrutura. Dessa forma, os diagramas de fases podem fornecer informações importantes sobre as fases presentes, por exemplo, em uma liga metálica. A figura abaixo apresenta o diagrama de fases no equilíbrio para ligas de Ag-Cu.

Considerando as informações e o diagrama de fases acima apresentados, julgue os itens subsequentes.
Provas
Caderno Container