Foram encontradas 1.803 questões.
Uma minicentral telefônica de uma rede PSTN (public switched telephone network) foi projetada para carregar um tráfego de 13 Erlangs com 2% de bloqueio, por meio da instalação de vinte canais independentes.
A respeito dessa situação hipotética, julgue os itens subsequentes.
Provas
Uma minicentral telefônica de uma rede PSTN (public switched telephone network) foi projetada para carregar um tráfego de 13 Erlangs com 2% de bloqueio, por meio da instalação de vinte canais independentes.
A respeito dessa situação hipotética, julgue os itens subsequentes.
Provas

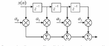
A figura acima ilustra um filtro digital empregado para equalização no receptor de um sistema de comunicações digitais. Tendo como referência essa figura, julgue os itens que se seguem.
Provas

A figura acima ilustra um filtro digital empregado para equalização no receptor de um sistema de comunicações digitais. Tendo como referência essa figura, julgue os itens que se seguem.
Provas
Provas
Provas
Provas
Provas
Com o objetivo de implementar uma nova rede de telefonia celular, uma operadora de telecomunicações adquiriu, em leilão, uma faixa de espectro pareada, com bandas disponíveis entre 1.710 MHz e 1.720 MHz e entre 1.805 MHz e 1.815 MHz. A referida operadora deverá operar em diferentes regiões e com diferentes tecnologias, entre 2G (GSM), 3G (UMTS) e 4G (LTE).
Com referência a essa situação hipotética, julgue os seguintes itens, referentes à telefonia móvel celular.
Provas
Com o objetivo de implementar uma nova rede de telefonia celular, uma operadora de telecomunicações adquiriu, em leilão, uma faixa de espectro pareada, com bandas disponíveis entre 1.710 MHz e 1.720 MHz e entre 1.805 MHz e 1.815 MHz. A referida operadora deverá operar em diferentes regiões e com diferentes tecnologias, entre 2G (GSM), 3G (UMTS) e 4G (LTE).
Com referência a essa situação hipotética, julgue os seguintes itens, referentes à telefonia móvel celular.
Provas
Caderno Container