Foram encontradas 625 questões.
O tempo durante o qual a máquina está realmente desempenhando a função para a qual foi projetada é conhecido como tempo:
Provas
A máquina agrícola utilizada para o plantio de órgãos vegetativos considerados tubérculos (batatas, mandioca e cana) é chamada:
Provas
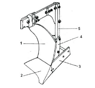
Observe a figura abaixo, que descreve a constituição de uma arado:

Nesta figura os números 1, 2, 3, 4 e 5, representam, respectivamente:
Provas
Observe a figura abaixo, que descreve a constituição de uma aiveca.

Nesta figura os números 1, 2, 3, 4 e 5, representam, respectivamente:
Provas
Existe um método de secagem artificial, com ventilação forçada, que utiliza o ar natural ou levemente aquecido, até 10ºC acima da temperatura ambiente. Este método de secagem é conhecido como:
Provas
Para a maioria das sementes recomenda-se que, se o teor de água for superior a 18% b.u., a temperatura que a semente venha a atingir, durante a secagem, não seja superior a 32ºC, se o seu teor de água estiver entre 10 e 18% b.u. Neste caso, a temperatura poderá chegar, ao máximo de:
Provas
Observe as figuras abaixo

A correta identificação dos sistemas de drenagem, representados pelas figuras de I, II, III e IV, são, em sequência:
Provas
Considere os dados do projeto de drenagem a seguir:
• dreno do tipo valeta, com profundidade de 1,5 m;
• profundidade da camada impermeável de 2,0 m;
• profundidade mínima desejada do lençol freático de 0,5 m;
• condutividade hidráulica do solo de 100 cm/dia;
• lâmina d’água a ser drenada de 5 mm por dia.
Sendo a forma generalizada da equação de DONNAN:

sendo P = 1,5 m; P + D = 2,0 m; H = 0,5 m; H + h = 1,5 m, sabendo que D<2P.
O espaçamento que deve ser adotado para esse projeto de drenagem, implantado em uma área úmida, é em metros, igual a:
Provas
Existem vários tipos de sistemas de drenagem superficiais. O tipo denominado sistema de drenagem em terraços ou sistema de drenagem transversal à principal declividade do terreno é o seguinte sistema:
Provas
O método de irrigação em que se aplica a água por meio de bacias ou tabuleiros, ou seja, áreas quase planas, de tamanho variado, limitadas por diques ou taipas, é um dos métodos mais simples e mais usados no Brasil. Esse método é o de irrigação por:
Provas
Caderno Container