Foram encontradas 50 questões.
Degradação é a passagem de um material polimérico de um estado de referência a um estado degradado, caracteriza-se pela modificação estrutural, onde se verifica uma diminuição das qualidades e desempenho. Acerca dos materiais poliméricos, assinale a afirmativa INCORRETA.
Provas
Acerca de proteínas e polissacarídeos, analise.
I. Homopolissacarídeos e heteropolissacarídeos são macromoléculas formadas, respectivamente, por um único tipo de monossacarídeo e por dois (ou mais) tipos de monossacarídeos.
II. Como as cadeias polipeptídicas possuem muitos aminoácidos com cadeias laterais básicas ou ácidas, as propriedades de uma proteína são extremamente influenciadas pelo pH do meio. Em pH’s baixos, os grupos carboxilatos e imidazóis são protonados e mudam o valor da carga líquida global da proteína que se torna mais positiva. Por outro lado, em pH’s mais altos, a concentração de íon hidrogênio diminui, as cadeias laterais diminuem seu grau de protonação e a carga líquida da proteína tende a ficar mais negativa.
III. Glicogênio, amido e celulose são homopolímeros de glicose. A principal diferença é que os dois primeiros polímeros têm unidades monoméricas do tipo alfa-glicose e o último, unidades monoméricas do tipo betaglicose.
IV. As alfa-hélices representam o segundo maior elemento estrutural das proteínas solúveis e podem ser encontradas em proteínas fibrosas, como aquelas presentes nos músculos e cabelos. Uma alfa-hélice típica possui, aproximadamente, 3,6 aminoácidos por volta e a distância no passo de cada volta é, quase, 0,54 nm.
Estão corretas as afirmativas
Provas
“A maioria das células eucarióticas, sob condições aeróbicas, conseguem oxidar seus combustíveis orgânicos até dióxido de carbono e água, sendo necessário que o piruvato formado na glicólise seja completamente oxidado até dióxido de carbono e água.” Acerca da afirmativa anterior, marque V para as verdadeiras e F para as falsas.
( ) O processo de degradação da glicose até a formação de duas moléculas de piruvato, posteriormente degrado até dióxido de carbono e água, é uma rota metabólica denominada catabolismo. Globalmente, os bioquímicos e biólogos celulares usam o termo respiração celular para indicar este processo molecular, onde a célula está consumindo oxigênio e produzindo dióxido de carbono dentro do pulmão.
( ) A respiração celular ocorre em três estágios: 1) glicose (e outras moléculas) são oxidadas até produzirem fragmentos de dois carbonos ligados à coenzima A, a acetilcoenzima A; 2) os grupos acetilas são removidos da acetilcoenzima A, oxidados até dióxido de carbono e a energia liberada nesse processo é conservada em co-enzimas reduzidas como o NADH e FADH2; 3) as moléculas de NADH e FADH2 são oxidadas e os elétrons transferidos para o oxigênio, que é reduzido e unido ao H+ do meio celular, produzindo água. Além da água, formam-se moléculas de ATP.
( ) Os três estágios da respiração celular denominam-se: 1) glicólise; 2) ciclo dos ácidos tricarboxílicos; e 3) fosforilação oxidativa.
( ) Na fosforilação oxidativa, o número de moléculas de ATP formadas na glicólise é menor do que o de moléculas de ATP’s.
A sequência está correta em
Provas
A figura representa os resultados experimentais de uma certa enzima extraída do fígado de rato. A enzima de interesse tem um comportamento michaeliano clássico.

(Bugg, T. Introduction to enzyme and coenzyme chemistry. Blackwell editor, 2004. – Com adaptações.)
A respeito do gráfico, é INCORRETO afirmar que
Provas
Em relação ao metabolismo, analise.
I. Todas as células requerem algum tipo de fonte de energia química para funcionar de forma adequada. Geralmente, esta energia é fornecida pela hidrólise de moléculas de ATP. Em função disso, todas as células possuem rotas biossintéticas de ATP.
II. A principal rota metabólica utilizada na quebra dos carboidratos é a Embden-Meyerhof-Parnas, também denominada de ciclo de krebbs ou do ácido cítrico.
III. Os produtos finais da glicólise, que se iniciam pela quebra da glicose entre outros açúcares, são etanol ou ácido lático, que se formam sob condições anaeróbicas. No caso da glicólise acontecer sob condições aeróbicas, o principal produto é a acetilcoenzima A.
IV. As unidades de acetilcoenzima A, geradas a partir dos açúcares na glicólise, precisam ser completamente oxidadas até o dióxido de carbono, para que seja fornecido o valor máximo de energia química para as células. Quando a célula oxida completamente, a glicose até dióxido de carbono e água são gerados 38 moléculas de ATP.
Estão corretas apenas as afirmativas
Provas
No Ciclo do Ácido Cítrico os grupos acetilas provenientes da glicólise são completamente oxidados e os elétrons removidos são transferidos para NADH e FADH2. Dentro da mitocôndria, estes carreadores transportam os elétrons até a cadeia respiratória. Diante do exposto, analise.
I. Na mitocôndria, o NADH entrega íons hidretos para desidrogenases ligadas à NAD (complexo I). Estas enzimas retiram os elétrons dos hidretos e os encaminham para a cadeia de transferência de elétrons (cadeia respiratória).
II. O NADH produzido no citossol também pode ser oxidado na cadeia respiratória. Antes, porém, é necessário que os hidretos dos NADH citossólicos sejam transferidos para moléculas de NAD+ mitocondrial através de um sistema de transporte específico existente na membrana mitocondrial.
III. Os elétrons provenientes do FADH2 são retirados na forma de hidretos por uma desidrogenase ligada à FAD. Esta enzima é a succinato desidrogenase, conhecida como complexo II da cadeia respiratória.
IV. Os elétrons provenientes do complexo I e do complexo II são transferidos para a proteína transportadora de elétrons chamada de ubiquinona. Esta proteína transporta os elétrons até o complexo III (conhecido como complexo citocromobc1).
V. No complexo III, os elétrons recebidos da ubiquinona são transferidos para dois tipos distintos de citocromos (b e c1) e, posteriormente , os mesmos elétrons são transferidos para centros Fe-S também no complexo III.
VI. Os centros Fe-S do complexo III entregam um elétron por vez para uma molécula de citocromo c e, por fim, esta molécula entrega o elétron para o complexo IV (conhecido como citocromo oxidase). Dentro do complexo IV, os elétrons são acumulados nos citocromos a e a3 e, posteriormente, transferidos para o O2 que será reduzido até a formação de água.
Estão corretas as afirmativas
Provas
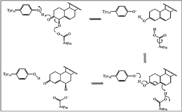
A figura a seguir representa o mecanismo reacional proposto para que a enzima cetosteroide isomerase possa modificar a ligação dupla de um esteroide.

(Bugg, T. Introduction to enzyme and coenzyme chemistry. Blackwell editor, 2004. – Com adaptações.)
Diante do exposto, é INCORRETO afirmar que
Provas
Na glicólise, cada um dos nove intermediários entre a glicose e o piruvato estão fosforilados. Os grupos fosforilas nestes nove intermediários têm funções importantes. Sobre as funções dos grupos fosforilas nos intermediários da glicólise, analise.
I. Os intermediários fosforilados da glicose não conseguem atravessar a membrana da célula. Assim, após a fosforilação inicial (formação da glicose-6-fosfato), nenhuma energia será mais necessária para reter os intermediários da glicólise no interior da célula, independente das concentrações intra e extracelular.
II. A fosforilação do primeiro intermediário da glicólise é feita a partir de hidrólise da ligação fosfoanidrido dos ATP’s utilizados na primeira fase. Os grupos fosforilas inseridos nos intermediários são componentes essenciais para conservar parte da energia fornecida pelo ATP. Esta energia será utilizada quando os intermediários de alta energia, como os 1,3-bisfosfoglicerato e o fosfoenolpiruvato da segunda fase da glicólise, doarem seus grupos para moléculas de ADP que irão se converter em ATP.
III. A atividade de, praticamente, todas as enzimas glicolíticas são independentes dos íons Mg+2 como co-fator.
Está(ão) INCORRETA(S) apenas a(s) afirmativa(s)
Provas
A fosforilação oxidativa é uma rota celular da produção de ATP dependente da disponibilidade de oxigênio molecular. O oxigênio é o receptor final dos elétrons que foram inseridos no início da cadeia respiratória. A diminuição da concentração de oxigênio disponível para receber elétrons diminui a produção de ATP. Acerca da fosforilação oxidativa, analise.
I. Na fosforilação oxidativa, os elétrons entregues nos complexos I e II da cadeia respiratória são transferidos para o oxigênio que será reduzido à água. Para cada molécula de oxigênio molecular utilizada, ao final do processo, são produzidas cinco moléculas de ATP se os elétrons entrarem na cadeia respiratória através do complexo I e somente três moléculas de ATP quando os elétrons entrarem na cadeia respiratória através do complexo II.
II. A fosforilação oxidativa é um processo de produção de energia que não possui mecanismos de regulação.
III. As concentrações de ATP e ADP controlam a quantidade de elétrons que entram na cadeia respiratória por meio de uma série de pontos de controle na glicólise e no Ciclo do Ácido Cítrico. As moléculas de ATP e ADP podem se ligar a várias enzimas das rotas glicolíticas e do ácido cítrico. A ligação do ATP e ADP causam alterações significativas nas conformações tridimensionais das enzimas e, desta forma, regulam alostericamente as suas atividades.
Está(ão) INCORRETA(S) apenas a(s) afirmativa(s)
Provas
Os catalisadores biológicos foram reconhecidos, em meados de 1700, através de estudos da digestão de carnes pelas secreções estomacais e da conversão de amido em açúcares pela saliva e extratos de plantas. Em 1.897, Eduard Buchner descobriu que extratos de leveduras fermentavam açúcares a álcool e que as moléculas da fermentação agiam mesmo após a remoção das células íntegras. Posteriormente, Frederick Kühne chamou estas moléculas de enzimas. Em 1913, Michaelis – Menten relacionou a concentração de substrato ([S]) disponível na reação e a sua velocidade inicial (V0), através da equação representada a seguir, onde Vmax (Velocidade máxima) e KM (Constante de Michaelis – Menten) são constantes determinadas experimentalmente. Diante do exposto, analise as afirmativas.

(Bugg, T. Introduction to enzyme and coenzyme chemistry. Blackwell Editor, 2004. – Com adaptações.)
I. KM é numericamente igual à concentração de substrato [S], onde a velocidade da reação é igual à metade do valor de Vmax da reação enzimática.
II. A equação obtida considera que o complexo ativado entre a enzima e o substrato [ES] esteja numa condição de estado estacionário, ou seja, a velocidade de formação de [ES] é igual à velocidade de decomposição de [ES]. Este critério de derivação é conhecido como aproximação do estado estacionário.
III. Além da condição do estado estacionário para o complexo ativado entre a enzima e o substrato [ES], a equação também considera que se [S] = KM, o valor de V0 = VMAX/2.
IV. A equação apresenta o comportamento cinético de uma reação enzimo-catalisada que utiliza apenas um substrato. Para enzimas que atuam sobre dois substratos, a equação ainda pode descrever o comportamento cinético, ainda que a análise se torne mais complexa.
V. A curva apresentada na figura anterior mostra uma reação global de ordem mista, onde a região inicial da curva representa uma reação de ordem 1 e a região final representa uma reação de ordem zero.
VI. A equação descreve o comportamento cinético de todas as enzimas e foi um importante incremento no estudo das enzimas.
Está(ão) INCORRETA(S) apenas a(s) afirmativa(s)
Provas
Caderno Container