Foram encontradas 435 questões.
Numa instalação de esgoto sanitário de uma edificação, o ramal de esgoto primário liga uma bacia sanitária a um tubo de queda e tem o diâmetro igual a
Provas
A Lei 8.213, no seu Art.19, define o acidente do trabalho.
Art. 19 - Acidente do trabalho é o que ocorre pelo exercício do trabalho a serviço da empresa ou pelo exercício do trabalho dos segurados, provocando ou que cause a morte ou a perda ou redução, permanente ou temporária, da .
Assinale a opção que complete corretamente as lacunas do texto.
Provas
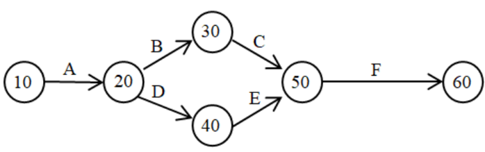
A figura a seguir apresenta um diagrama de flechas, de uma obra, com suas atividades A, B, C, D, E e F e os seus respectivos tempos, em dias: 5, 7, 5, 6, 8 e 2.

Qual o prazo necessário para a conclusão da obra?
Provas
Analise a figura abaixo:

Assinale a opção que melhor represente o perfil AB.
Provas
Com respeito aos ângulos goniométricos e azimutais, classifique cada assertiva abaixo em Verdadeira ou Falsa.
I. Azimute: É o ângulo formado entre o alinhamento e a direção norte-sul, tendo como origem a direção norte e grandeza variável entre 0° e 360°, contado no sentido horário.
II. Ângulo horário (interno/externo): É o ângulo formado entre o alinhamento e a direção norte sul, tendo como origem a direção norte-sul e com grandeza variável entre 0° e 90°.
III. Deflexão: É o ângulo formado entre dois alinhamentos, contados no sentido horário e variável de 0° a 360°.
IV. Rumo: É o ângulo formado entre o prolongamento do alinhamento anterior ao alinhamento em estudo, contado para a direita ou para a esquerda e tendo sua grandeza limitada de 0° e 180°.
Assinale a alternativa que apresente a correlação correta.
Provas
Corrosão Sob Tensão é um termo utilizado para descrever falhas de serviço em materiais.
Nesse contexto, assinale a afirmativa incorreta.
Provas
A barra chata de aço da figura, com largura de 100 mm e espessura de 10 mm, possui três furos de 22mm de diâmetro para fixação, por meio de parafusos, em uma estrutura metálica. Folga = 3,5mm.

Para o dimensionamento à tração, a área efetiva líquida da barra chata, em cm², é
Provas
A figura seguinte mostra as curvas tensão-deformação (σ x ε) dos aços A e B, obtidas em ensaios à tração com corpos de prova padronizados de geometrias idênticas.

Com base na figura e nas informações apresentadas, julgue as assertivas a seguir com relação às propriedades desses aços:
I. O aço B é mais dúctil e possui maior tenacidade que o aço A.
PORQUE
II. O módulo de elasticidade do aço A é menor que o módulo de elasticidade do aço B.
Assinale a alternativa correta.
Provas
Para efeito de cálculo, nos aços estruturais relacionados na ABNT NBR 8800:2008, deve ser adotado o seguinte valor de propriedade mecânica:
Provas
O aço das estruturas metálicas é uma liga formada basicamente dos elementos ferro (Fe) e carbono (C). Sobre a adição de carbono, é correto afirmar que o
Provas
Caderno Container