Foram encontradas 160 questões.

Provas
O fenômeno conhecido na literatura sobre assimetria de informação como seleção adversa ocorre porque:
Provas

Provas
Considere a matriz de payoff's de um jogo abaixo na qual a, b, c, d, e, f, g e h são valores reais. É correto afirmar que:

Provas
Considere o seguinte jogo para a provisão de um bem público discreto com 2 agentes. Cada um dos agentes deve fazer um lance acerca de sua disposição a pagar pelo bem público sem ter conhecimento do lance feito pelo outro agente. Caso a soma dos dois lances seja igual ou superior ao custo de prover o bem público, esse bem será provido e cada agente pagará o seu lance. Caso isso não ocorra, o bem público não será provido e os agentes não serão obrigados a fazer qualquer pagamento. Sabe-se que cada agente atribui ao bem público um valor inferior ao custo de sua provisão e superior à metade desse custo. Nessas condições, é correto afirmar que:
Provas
Considere o modelo de Stackelberg nas seguintes condições: a demanda é dada por p=60−q; a empresa líder produz com um custo marginal constante igual a 6 e a empresa seguidora produz com um custo marginal constante igual a 24. As duas empresas produzem exatamente o mesmo bem.
Provas
Uma indústria é formada por 20 oligopolistas idênticos com custos marginais constantes iguais a R$ 5,00. A demanda de mercado é dada por x=110−p (x = quantidade demandada e p = preço unitário). Sendo pc o preço no equilíbrio de Cournot e
a quantidade ofertada pela indústria nesse equilíbrio, temos:
Provas
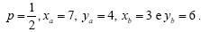
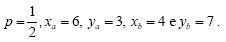
O produto de um monopolista pode ser diferenciado de acordo com sua qualidade. Há dois grupos de consumidores para esse produto, sendo que cada consumidor irá comprar no máximo uma unidade do produto do monopolista. Os consumidores do tipo I apresentam uma função de utilidade com a forma
na qual m é a quantidade de dinheiro disponível para a aquisição de outros bens que não o produto monopolista e x , é um índice que reflete a qualidade da unidade do produto do monopolista que foi adquirida por esse consumidor. A função de utilidade dos consumidores do tipo dois é
na qual
. O custo de produzir uma unidade de produto constante e igual a x , sendo x o índice de qualidade da unidade produzida. Nessas condições, supondo-se que o monopolista procura maximizar seu lucro, pode-se afirmar que
Provas
Suponha uma empresa monopolista com custo marginal constante igual a c e função de demanda
na qual a e b são constante reais positivas e b>0. Nessas condições:
Provas

Provas
Caderno Container