Foram encontradas 300 questões.
Caso se queira utilizar uma lente para resolver objetos que tenham
separação angular pequena, é desejável que se mantenha menor
possível a figura de difração. De acordo com o critério de
Rayleigh, isso pode ser obtido
Provas
Questão presente nas seguintes provas

Na figura precedente, são apresentados arranjos ópticos que correspondem a diferentes tipos de interferômetros. Os elementos ópticos representados na figura são: fonte de luz (FL), divisor de feixe (DF) e espelhos (E).
Com base nas informações apresentadas, é correto afirmar que, na figura, (A), (B), (C) e (D) correspondem, respectivamente, aos arranjos
Provas
Questão presente nas seguintes provas
Se a intensidade luminosa de uma fonte de luz pontual é de
1.000 cd, então, a iluminância medida a 2 m de distância da fonte
é igual a
Provas
Questão presente nas seguintes provas

A figura precedente representa um filme fino de espessura L e índice de refração n2 entre dois meios com índices de refração n1 e n3. Uma luz, com comprimento de onda λ = 500 nm no vácuo, incide de forma aproximadamente perpendicular à face do filme a partir do meio com índice n1. Nesse caso, se n1 < n2 = 1,25 < n3, então, a menor espessura do filme capaz de eliminar as reflexões da luz é igual a
Provas
Questão presente nas seguintes provas
Os principais sensores de imagem da atualidade são do tipo
CMOS ou do tipo CCD. Uma característica compartilhada por
esses dois tipos de sensores é que eles
Provas
Questão presente nas seguintes provas
Considerando-se que um feixe de luz com comprimento de onda
igual a 500 nm incida normalmente em uma grade de difração
que contém 1.000 linhas por milímetro, é correto afirmar que o
ângulo máximo de primeira ordem da luz difratada será igual a
Provas
Questão presente nas seguintes provas
Uma lente plano-convexa de raio R é colocada sobre uma
placa de vidro sobre a qual há uma fina camada de pó e, após
isso, observa-se que o raio do quarto anel escuro de Newton é
igual a a. Quando o vidro está perfeitamente limpo, o raio desse
anel é igual a b.
Nessa situação hipotética, a espessura da camada de pó será dada por
Nessa situação hipotética, a espessura da camada de pó será dada por
Provas
Questão presente nas seguintes provas
Considere-se que uma bomba turbomolecular tenha sido utilizada
para evacuar e manter o vácuo de uma câmara que continha,
inicialmente, a mesma quantidade de matéria dos gases hélio,
neônio, argônio, criptônio e xenônio. Nesse caso, após a pressão
dentro da câmara se estabilizar, os átomos que terão maior
concentração na composição do gás residual dentro da câmara
serão os de
Provas
Questão presente nas seguintes provas
Suponha-se que uma típica câmara de ultra-alto-vácuo seja
mantida a pressão e temperatura constantes, iguais a
1,38 × 10−8 Pa e 100 K, respectivamente. Nessa situação,
considerando-se que k = PV/NT = 1,38 x 10-23 J/K, em que P
corresponde à pressão, V, ao volume, T, à temperatura e N, à
quantidade de moléculas, é correto concluir que a quantidade de
moléculas por metro cúbico existentes dentro da câmara é igual a
Provas
Questão presente nas seguintes provas

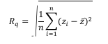
A rugosidade pode ser considerada como uma medida do quanto uma dada superfície difere de uma superfície perfeitamente lisa, representada, na fórmula precedente, por
Com base nas informações da situação hipotética apresentada, é correto afirmar que o parâmetro Rq, na fórmula precedente, corresponde
Provas
Questão presente nas seguintes provas
Cadernos
Caderno Container