Magna Concursos

Foram encontradas 700 questões.

Com relação aos protocolos de controle da Internet, assinale a opção correta.

 

Provas

Questão presente nas seguintes provas

Assinale a opção correta com relação aos protocolos do modelo OSI.

 

Provas

Questão presente nas seguintes provas

Assinale a opção correta com relação às redes de computadores.

 

Provas

Questão presente nas seguintes provas

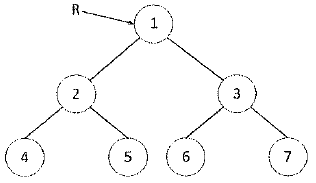
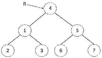
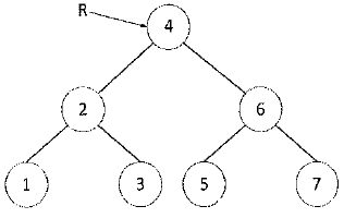
Considere a estrutura de dados Árvore Binária de Busca (ABB). Se uma ABB é composta pelos nós 1, 2, 3, 4, 5, 6 e 7, qual figura representa corretamente essa árvore ABB com raiz R?

 

Provas

Questão presente nas seguintes provas
2508564 Ano: 2015
Disciplina: TI - Banco de Dados
Banca: Marinha
Orgão: Marinha

Com relação à integridade referencial, assinale a opção correta.

 

Provas

Questão presente nas seguintes provas

Para que se crie um arquivo .bashrc padronizado para todos os usuários de um sistema Linux, onde esse arquivo pode ser colocado para que seja copiado automaticamente para o diretório pessoal de cada usuário, no momento da criação da conta?

 

Provas

Questão presente nas seguintes provas

Analise o comando do Linux abaixo.

find / -type f -perm -4000 -ls

O comando acima faz uma busca por

 

Provas

Questão presente nas seguintes provas

Em um sistema Linux, o umask de um usuário está definido para 026. Sendo assim, com relação às permissões atribuídas a um arquivo recém criado, o usuário

 

Provas

Questão presente nas seguintes provas

Para formatar um pen drive em /dev/sdb1 com sistema de arquivo FAT32, nomeando o volume como "PROVA'' e verificando a existência de blocos ruins, qual comando do Linux é utilizado?

 

Provas

Questão presente nas seguintes provas

Observe, abaixo, a saída do programa t2.

$ ./t2 &

[1] 3680

[1]+ Parado ./t2

Considerando a saída do programa t2 acima representado, qual o comando do Linux é usado quando se deseja colocar o programa t2 em primeiro plano (FOREGROUND), após esse programa ter sido colocado em execução em segundo plano (BACKGROUND)?

 

Provas

Questão presente nas seguintes provas