Foram encontradas 50 questões.
- Modelo TCP/IPModelo TCP/IP: Camada de Transporte
- TCP/IPTCP: Transmission Control Protocol
- TCP/IPUDP: User Datagram Protocol
Segundo Kurose (2021), referente à transmissão de pacotes, é correto afirmar que:
Provas
- Fundamentos de ProgramaçãoEstruturas de DadosDefinição: Estrutura de Dados
- Fundamentos de ProgramaçãoEstruturas de DadosEstrutura de Dados: Pilha
Segundo Sebesta (2018), considere uma estrutura de dados do tipo PILHA, inicialmente vazia, que possui as operações típicas de inserção e remoção de elementos. Nessa estrutura, foram executadas as seguintes operações, de modo ordenado:
PUSH 1
PUSH2
POP
PUSH3
POP
PUSH4
POP
PUSH 5
PUSH6
POP
PUSH 7
Assinale a opção que apresenta corretamente o número de elementos na pilha e o valor armazenado no topo da pilha, respectivamente, após a realização de todas as operações.
Provas
- Fundamentos de ProgramaçãoLógica de Programação
- Fundamentos de ProgramaçãoVariáveis
- LinguagensPython
Assinale a opção que apresenta um nome de variável INVÁLIDO em linguagem Python, de acordo com Menezes (2019).
Provas
Conforme Stallings (2014), no contexto de segurança da informação, o texto claro é encriptado em blocos, com cada um tendo um valor binário menor que algum número n. Ou seja, o tamanho do bloco precisa ser menor ou igual a log2(n) +1. Assim, assinale a opção que apresenta corretamente o protocolo que utiliza uma expressão com exponenciais.
Provas
- Modelo OSIModelo OSI: Camada Física
- Transmissão de DadosMeios de TransmissãoCabeamento FìsicoMeio de Transmissão: Fibra Óptica
- Transmissão de DadosMeios de TransmissãoCabeamento FìsicoMeio de Transmissão: Par Trançado
- Transmissão de DadosPadrões IEEE 802IEEE 802.3: Ethernet
Segundo Tanenbaum (2021 ), sobre o Gigabit Ethernet, é correto afirmar que o:
Provas
Assinale a opção que apresenta corretamente a ação mais adequada para um gerente acelerar o andamento de um projeto que esteja com restrições orçamentárias e que precisa ser entregue em um prazo menor do que foi acordado inicialmente, de acordo com Heldman (2015).
Provas
Disciplina: TI - Organização e Arquitetura dos Computadores
Banca: Marinha
Orgão: Marinha
No contexto de sistemas computacionais, segundo Tanenbaum (2013), é correto afirmar que a memória cache:
Provas
- Transmissão de DadosMeios de TransmissãoCabeamento FìsicoCabeamento Estruturado
- Transmissão de DadosMeios de TransmissãoCabeamento FìsicoMeio de Transmissão: Fibra Óptica
Sobre o cabeamento óptico, assinale a opção correta.
Provas
- Fundamentos de ProgramaçãoAnálise Assintótica (Notação Big-O)
- Fundamentos de ProgramaçãoComplexidade
- LinguagensJava
Um militar implementou uma função em linguagem JAVA para resolver um problema hipotético do Centro de Dados da Marinha.
public class Main {
public static int somaTriangúlar (int [] [] matriz) {
int n = matriz. length;
int soma= 0;
for (int i = 0; i < n; i++)
for (int j = 0; j <= i; j++) {
soma+= matriz[ i ][ j ];
}
}
return soma;
}
public static void main(String[] args) {
int[] [] examploMatriz = ({1,0,0) ,(4,5,0), (7,8,9)};
int result = somaTriangular(examploMatriz);
System.out.println(result);
}
}
Assinale a opção que apresenta corretamente a complexidade em notação O da função somaTriangular, de acordo com Szwarcfiter (2010).
Provas
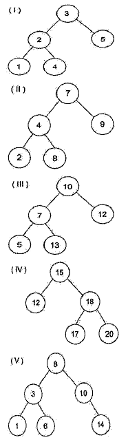
Analise as afirmativas abaixo, assinalando a seguir a opção que apresenta corretamente árvores binárias de busca.

Provas
Caderno Container