Magna Concursos

Foram encontradas 1.540 questões.

3238634 Ano: 2012
Disciplina: Engenharia Química
Banca: FUNDEP
Orgão: MPE-MG
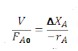
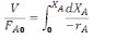
Uma reação homogênea é classificada como autocatalítica quando o produto da própria reação atua como catalisador. Nesse tipo de reação, a taxa inicial de consumo dos reagentes é baixa, porque uma pequena quantidade de produto está presente no meio reacional; a taxa aumenta continuamente até um valor máximo à medida que o produto vai sendo formado, para, depois, decrescer significativamente à medida que os reagentes são consumidos.
Dados: Equação de projeto do reator de mistura Enunciado 3600874-1
Equação de projeto do reator pistonado Enunciado 3600874-2

Nessas equações, V é o volume do reator, FA0 é a vazão molar inicial do reagente A, -rA é a taxa de consumo do reagente A com base no volume reacional e XA é a conversão do reagente A em produtos.

Com base nessa informação e nas equações de projeto dos reatores de mistura e pistonado, assinale a alternativa INCORRETA.
 

Provas

Questão presente nas seguintes provas
3238633 Ano: 2012
Disciplina: Engenharia Química
Banca: FUNDEP
Orgão: MPE-MG
Para as reações químicas consideradas elementares, a expressão da taxa de reação pode ser representada por um termo que é uma função da temperatura e outro que é função da composição. Na maioria dos casos, o termo dependente da temperatura segue a Lei de Arrhenius (k = k0·exp(-E/RT)), em que k é a velocidade específica de reação, k0 é o fator de frequência, R é a constante universal dos gases e T é a temperatura absoluta.
Segundo essa lei, assinale a alternativa INCORRETA.
 

Provas

Questão presente nas seguintes provas
3238632 Ano: 2012
Disciplina: Engenharia Química
Banca: FUNDEP
Orgão: MPE-MG
Em relação aos processos industriais com reação química, analise as seguintes afirmativas e assinale a alternativa INCORRETA.
 

Provas

Questão presente nas seguintes provas
3238631 Ano: 2012
Disciplina: Engenharia Química
Banca: FUNDEP
Orgão: MPE-MG
Relativamente à purga, assinale a afirmativa INCORRETA.
 

Provas

Questão presente nas seguintes provas
3238630 Ano: 2012
Disciplina: Engenharia Química
Banca: FUNDEP
Orgão: MPE-MG
A introdução de uma corrente de reciclo em processos industriais tem os seguintes objetivos, EXCETO
 

Provas

Questão presente nas seguintes provas
3238629 Ano: 2012
Disciplina: Engenharia Química
Banca: FUNDEP
Orgão: MPE-MG
Considerando as reações de combustão, analise as seguintes afirmativas e assinale a INCORRETA.
 

Provas

Questão presente nas seguintes provas
3238628 Ano: 2012
Disciplina: Engenharia Química
Banca: FUNDEP
Orgão: MPE-MG
Considerando a técnica de Espectroscopia de Absorção Molecular no Ultravioleta/Visível, analise as seguintes afirmativas e assinale a CORRETA.
 

Provas

Questão presente nas seguintes provas
3238627 Ano: 2012
Disciplina: Engenharia Química
Banca: FUNDEP
Orgão: MPE-MG
Por meio da técnica de Espectroscopia de Absorção Molecular no Ultravioleta/Visível, deseja-se saber a concentração do composto “X” requerida para produzir uma solução que tenha uma transmitância de 8,42% em uma cubeta de 2,50 cm.
Dados: log10 0,0842 = -1,0746 Absortividade molar do composto “X”= 2,17 x 103 L.cm-1.mol-1
Essa concentração é
 

Provas

Questão presente nas seguintes provas
3238626 Ano: 2012
Disciplina: Engenharia Química
Banca: FUNDEP
Orgão: MPE-MG
Analise as seguintes afirmativas relativas à técnica de cromatografia e assinale a alternativa INCORRETA.
 

Provas

Questão presente nas seguintes provas
3238625 Ano: 2012
Disciplina: Engenharia Química
Banca: FUNDEP
Orgão: MPE-MG
A Microscopia Eletrônica de Varredura (MEV) é uma técnica comumente utilizada quando se necessita de uma caracterização por meio de imagens.
Com base nessa técnica, analise as afirmativas apresentadas abaixo e assinale a INCORRETA.
 

Provas

Questão presente nas seguintes provas