Foram encontradas 555 questões.
Ethernet é a tecnologia para redes locais de maior sucesso nos últimos vinte anos. Tem como característica o envio e recebimento de quadros através de um link compartilhado. Considerando o formato dos quadros Ethernet, numere a segunda coluna de acordo com a primeira.
| ( 1 ) Campo preâmbulo | ( ) Detecta erros na mensagem. |
| ( 2 ) Campo endereço fonte | ( ) Campo de tamanho variável. |
| ( 3 ) Campo tipo | ( ) Campo de 48 bits. |
| ( 4 ) Campo CRC | ( ) Permite ao receptor o sincronismo com o sinal. |
| ( 5 ) Campo corpo | ( ) Identifica para qual protocolo de alto nível deve ser entregue o quadro. |
| ( 6 ) Campo checksum |
A seqüência correta é:
Provas
- Topologias de RedeTopologia: Anel
- Topologias de RedeTopologia: Estrela
- Topologias de RedeTopologia: Ponto a Ponto
- Topologias de RedeTopologia: Árvore
A topologia de rede trata da distribuição geográfica de elos e nós da rede, existindo duas grandes classes de subredes: ponto a ponto e broadcast. Com base nessas informações, pode-se afirmar:
I. A rede tipo Estrela é caracterizada por possuir todas as estações de trabalho conectadas a um dispositivo central de comutação de circuitos.
II. A rede tipo Anel é caracterizada por estações conectadas, através de um caminho fechado.
III. A rede tipo Completa utiliza apenas um único cabo interligando todas as estações.
IV. A rede tipo Árvore utiliza canais ponto a ponto.
V. A rede tipo Barra possui estações interligadas uma a outra através de vários cabos, um para cada estação.
Estão corretas apenas:
Provas
A maioria das redes é organizada como uma série de camadas, cada uma oferecendo serviços para as camadas superiores. A camada n de uma máquina se comunica com a camada n de outra máquina, usando regras e convenções definidas pela arquitetura de rede específica. Tendo em vista a organização de redes, pode-se afirmar:
I. A camada n de uma máquina da rede transfere os dados diretamente para a camada n de outra máquina, usando uma ligação física entre elas.
II. Cada camada de uma máquina da rede transfere os dados e as informações de controle para a camada imediatamente abaixo dela.
III. Cada camada de uma máquina da rede executa serviços para a camada superior, ocultando detalhes da implementação.
IV. As camadas adjacentes são interligadas por um meio físico (par trançado ou fibra ótica), do qual depende a maior ou menor velocidade da rede.
V. O conjunto de regras e convenções usadas na troca de informações entre as camadas é chamado de protocolo.
Estão corretas apenas:
Provas
No modelo de referência TCP/IP, o protocolo é um conjunto de regras que possibilita e disciplina a comunicação entre as camadas. Considerando os conceitos relacionados com esse modelo, numere a segunda coluna de acordo com a primeira.
| ( 1 ) Protocolo SMTP | ( ) Camada de Transporte |
| ( 2 ) Protocolo UDP | ( ) Camada de Aplicação |
| ( 3 ) Protocolo DNS | ( ) Correio Eletrônico |
| ( 4 ) Protocolo NNTP | ( ) Usado para mover novos artigos |
| ( 5 ) Protocolo TELNET | ( ) Mapeia os nomes de host para os seus respectivos endereços de rede |
| ( 6 ) Protocolo HTTP |
A seqüência correta é:
Provas
O modelo de referência TCP/IP é composto por camadas, sendo seu nome conhecido devido aos seus dois principais protocolos, o protocolo TCP e o protocolo IP. Considerando as características desse modelo de referência, pode-se afirmar que ele possui um(a):
I. Camada de Sessão.
II. Camada de Transporte.
III. Camada de Adaptação.
IV. Protocolo TCP, não orientado à conexão confiável.
V. Protocolo UDP, usado em aplicações em que a entrega imediata é mais importante que a entrega precisa.
Estão corretas apenas:
Provas
- AbrangênciaWAN: Wide Area Network
- Transmissão de DadosATM: Asynchronous Transfer Mode
- Transmissão de DadosComutação de Células, Circuitos e Pacotes
- Transmissão de DadosTransmissão de Multimídia, Streaming e VozQoS: Quality of Service
A Rede Digital de Serviços Integrados Faixa Larga (RDSI-FL) tem como idéia principal fornecer uma integração de serviços, através de uma interface comum para a transferência de dados dos mais variados tipos e de uma rede de transporte também comum. Considerando as características principais dessa rede, identifique com V a(s) verdadeira(s) e com F, a(s) falsas:
( ) Utiliza o modo de transferência síncrono.
( ) Suporta conexões comutadas e permanentes.
( ) Não suporta serviços orientados à conexão.
( ) Suporta serviços fornecidos sob demanda, reservados e permanentes.
( ) Não suporta serviços modo circuito.
A seqüência correta é:
Provas
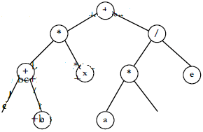
Considere a árvore abaixo, representando a expressão !$ (b+c)x+{\large{ad \over e}} !$.

O percurso em pré-ordem, nessa árvore, produz a sequência:
Provas
A utilização do modelo CASCATA de desenvolvimento de software é recomendada quando:
Provas
Qual das afirmações abaixo todas as atividades apresentadas são de gerenciamento em projeto de software, EXCETO?:
Provas
Dentre os modelos de desenvolvimento de software, destaca-se a prototipagem. Sabe-se que existem dois tipos de prototipagem: a exploratória e a descartável. Essa classificação se dá segundo a compreensão dos requisitos do software que está sendo desenvolvido. Considerando essas informações, Pode-se afirmar que:
I. A prototipagem exploratória deve ser utilizada quando os requisitos do software estão bem compreendidos.
II. A prototipagem descartável deve ser utilizada quando os requisitos do software não estão bem compreendidos.
III. A especificação dos requisitos é de responsabilidade única do desenvolvedor,. na prototipagem exploratória e na prototipagem descartável.
Está(ão) correta(s) apenas:
Provas
Caderno Container