Foram encontradas 2.495 questões.
Acerca dos projetos de florestamento e reflorestamento, julgue o próximo item.
A viabilidade da implantação de projetos de florestamento e reflorestamento, ao longo de um horizonte de planejamento, com espécies equiâneas de rápido crescimento, visando a produção de madeira em curto espaço de tempo, deve ser analisada tanto tecnicamente quanto economicamente, sendo o custo médio de produção e o valor presente líquido, métodos de avaliação econômica que podem ser aplicados.
Provas
Questão presente nas seguintes provas
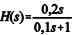
Considere um sistema dinâmico contínuo no tempo cuja função de transferência é dada por
Visando uma aplicação que requer dados na forma discreta, será necessário converter essa função de transferência para o domínio do tempo discreto utilizando a transformada Z. Para esta conversão, é utilizada a transformação bilinear com frequência de amostragem igual a 5 Hz. Com base nessas informações, julgue o item que se segue.
A função de transferência equivalente no domínio da transformada Z é H(z) =1 - z -1
A função de transferência equivalente no domínio da transformada Z é H(z) =1 - z -1
Provas
Questão presente nas seguintes provas
A relação no domínio do tempo entre o sinal de entrada u(t) e de saída y(t) de uma planta industrial é representada pela equação diferencial de segunda ordem
para t ≥ 0
Tendo como base essas informações, julgue o próximo item.
Caso a entrada seja dada por u(t) = 5 sen(t), para t ≥ 0, então a amplitude da saída em regime permanente será igual a 2.
Tendo como base essas informações, julgue o próximo item.
Caso a entrada seja dada por u(t) = 5 sen(t), para t ≥ 0, então a amplitude da saída em regime permanente será igual a 2.
Provas
Questão presente nas seguintes provas
Considere um sistema dinâmico contínuo no tempo cuja função de transferência é dada por
Visando uma aplicação que requer dados na forma discreta, será necessário converter essa função de transferência para o domínio do tempo discreto utilizando a transformada Z. Para esta conversão, é utilizada a transformação bilinear com frequência de amostragem igual a 5 Hz. Com base nessas informações, julgue o item que se segue.
A resposta ao impulso do sistema contínuo é dada por h(t) = 2 - 20e -10t, para t ≥ 0 .
A resposta ao impulso do sistema contínuo é dada por h(t) = 2 - 20e -10t, para t ≥ 0 .
Provas
Questão presente nas seguintes provas
Considere um sistema dinâmico contínuo no tempo cuja função de transferência é dada por
Visando uma aplicação que requer dados na forma discreta, será necessário converter essa função de transferência para o domínio do tempo discreto utilizando a transformada Z. Para esta conversão, é utilizada a transformação bilinear com frequência de amostragem igual a 5 Hz. Com base nessas informações, julgue o item que se segue.
A resposta ao degrau unitário do sistema contínuo em regime estacionário é igual a 2.
A resposta ao degrau unitário do sistema contínuo em regime estacionário é igual a 2.
Provas
Questão presente nas seguintes provas
A relação no domínio do tempo entre o sinal de entrada u(t) e de saída y(t) de uma planta industrial é representada pela equação diferencial de segunda ordem
para t ≥ 0
Tendo como base essas informações, julgue o próximo item.
A figura abaixo representa corretamente uma das formas possíveis para a relação entre entrada e saída dessa planta na forma de diagrama em bloco, em que s é a variável da transformada de Laplace.

Tendo como base essas informações, julgue o próximo item.
A figura abaixo representa corretamente uma das formas possíveis para a relação entre entrada e saída dessa planta na forma de diagrama em bloco, em que s é a variável da transformada de Laplace.
Provas
Questão presente nas seguintes provas
Considerando as tecnologias e os processos envolvidos na construção e na utilização de dispositivos e circuitos eletrônicos, julgue o item a seguir.
O produto velocidade-potência de uma porta lógica, obtido pela multiplicação do atraso de propagação pela potência dissipada, é utilizado para comparar o desempenho entre famílias de circuitos integrados.
O produto velocidade-potência de uma porta lógica, obtido pela multiplicação do atraso de propagação pela potência dissipada, é utilizado para comparar o desempenho entre famílias de circuitos integrados.
Provas
Questão presente nas seguintes provas
- Conversores Analógicos Digitais (AD) e Digitais Analógicos (DAC)
- Eletrônica Digital na Engenharia Eletrônica
Considerando as tecnologias e os processos envolvidos na construção e na utilização de dispositivos e circuitos eletrônicos, julgue o item a seguir.
A resolução de um conversor D/A é a maior alteração que pode ocorrer na saída analógica como resultado de uma mudança na entrada digital, ou seja, a alteração corresponde à saída de fundo de escala.
A resolução de um conversor D/A é a maior alteração que pode ocorrer na saída analógica como resultado de uma mudança na entrada digital, ou seja, a alteração corresponde à saída de fundo de escala.
Provas
Questão presente nas seguintes provas
Considere um sistema dinâmico contínuo no tempo cuja função de transferência é dada por
Visando uma aplicação que requer dados na forma discreta, será necessário converter essa função de transferência para o domínio do tempo discreto utilizando a transformada Z. Para esta conversão, é utilizada a transformação bilinear com frequência de amostragem igual a 5 Hz. Com base nessas informações, julgue o item que se segue.
O sistema contínuo não apresenta zeros e polos no infinito.
O sistema contínuo não apresenta zeros e polos no infinito.
Provas
Questão presente nas seguintes provas
Considerando as tecnologias e os processos envolvidos na construção e na utilização de dispositivos e circuitos eletrônicos, julgue o item a seguir.
As entradas PRESET e CLEAR de um flip-flop JK não podem assumir o valor zero simultaneamente. Já o flip-flop T é um JK que possui as entradas J e K curto-circuitadas.
As entradas PRESET e CLEAR de um flip-flop JK não podem assumir o valor zero simultaneamente. Já o flip-flop T é um JK que possui as entradas J e K curto-circuitadas.
Provas
Questão presente nas seguintes provas
Cadernos
Caderno Container