Foram encontradas 120 questões.
Na amostragem aleatória simples, a relação entre o tamanho mínimo da amostra — n — e o tamanho da população — N — é dada por
em que Eo representa o erro amostral tolerável. Com base nessas informações, julgue os itens seguintes.
Se N = 10.000 e Eo = 0,04, então n > 600.
Provas

Considerando a tabela de valores acima, nas variáveis X e Y, julgue os itens subsequentes.
Se o coeficiente de correlação linear entre as variáveis é igual a zero, então não existe nenhuma relação entre as variáveis X e Y.
Provas
- Estatística DescritivaCorrelação LinearCoeficiente de Correlação Linear
- Estatística DescritivaMedidas de Dispersão

Considerando a tabela de valores acima, nas variáveis X e Y, julgue os itens subsequentes.
Se Cov (X, Y) é a covariância entre X e Y, V(X) é a varância de X e V(Y) é a variância de Y, então é correto afirmar que o coeficiente de correlação linear, Corr(X, Y) =
é inferior a 0,8.
Provas
O modelo de regressão quadrática Y = a + bX + cX² + g deve ser ajustado aos dados da seguinte tabela.

Nesse caso, é correto afirmar que
a parábola dos mínimos quadrados tem os parâmetros 
Provas
O modelo de regressão quadrática Y = a + bX + cX² + g deve ser ajustado aos dados da seguinte tabela.

Nesse caso, é correto afirmar que
as equações normais são dadas por

em que n representa o tamanho da amostra.
Provas
No modelo de regressão múltipla Z = a + bX + cY +
,
representa um desvio aleatório. Com referência a esse modelo, julgue os próximos itens.
No caso específico em que a = 0, as equações normais são expressas por

Provas
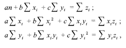
No modelo de regressão múltipla Z = a + bX + cY +
,
representa um desvio aleatório. Com referência a esse modelo, julgue os próximos itens.
As equações normais para esse problema são expressas pelas seguintes equações:

em que n representa o tamanho da amostra.
Provas
Uma concessionária de veículos estudou o preço de determinado tipo de veículo em função da idade (anos de uso). Os resultados encontram-se na seguinte tabela.

Um estatístico ajustou o modelo de regressão linear simples Y = a + bX +
aos dados, em que
representa um desvio aleatório. Com base nessas informações, julgue os itens a seguir.
Se o desvio aleatório
tiver distribuição N(0,
) com
= R$ 2.000, então, considerando que
(0,85) = 0,8023, em que
denota a função de distribuição do modelo normal padronizado, a probabilidade de que um veículo com 3 anos de idade tenha valor inferior a R$ 48.000 é inferior a 20%.
Provas
Uma concessionária de veículos estudou o preço de determinado tipo de veículo em função da idade (anos de uso). Os resultados encontram-se na seguinte tabela.

Um estatístico ajustou o modelo de regressão linear simples Y = a + bX +
aos dados, em que
representa um desvio aleatório. Com base nessas informações, julgue os itens a seguir.
Comparando os preços observados da tabela com os preços esperados, o desvio absoluto entre esses valores será maior para o veículo com 2 anos de idade.
Provas
Uma concessionária de veículos estudou o preço de determinado tipo de veículo em função da idade (anos de uso). Os resultados encontram-se na seguinte tabela.

Um estatístico ajustou o modelo de regressão linear simples Y = a + bX +
aos dados, em que
representa um desvio aleatório. Com base nessas informações, julgue os itens a seguir.
O preço esperado de um veículo de 5 anos de idade é igual a R$ 30.100.
Provas
Caderno Container