Foram encontradas 595 questões.
Em 2015, foram registrados 31 ataques a caixas eletrônicos na capital federal. Os explosivos eram trazidos da
Bahia e montados no local do crime.
Disponível em: <http://www.correiobraziliense.com.br/app/noticia/cidades/2016/09/25/interna_cidadesdf,500117/ataques-a-caixas-eletronicosrenderam-r-1-5-milhão-a-quadrilha.shtml>. Acesso em: 16 abr. 2016, com adaptações.
O nitrato de amônio é o composto mais utilizado como explosivo em ações de ataque a caixas eletrônicos. Quanto a essa substância, assinale a alternativa correta.
Provas
- Interações com Tecnologia, Sociedade e Meio Ambiente
- Química InorgânicaSoluções e Substâncias Inorgânicas
Provas
- FundamentosLigações Químicas
- FundamentosPropriedades das Substâncias
- Química InorgânicaGeometria Molecular, Polaridade e Forças Intermoleculares
- Química InorgânicaSoluções e Substâncias InorgânicasSubstâncias Inorgânicas: dissociação iônica e ionização, conceitos de ácido-base
Provas
- FundamentosPropriedades das Substâncias
- Interações com Tecnologia, Sociedade e Meio Ambiente
- Química CinéticaRepresentação das Transformações Químicas
- Química InorgânicaGeometria Molecular, Polaridade e Forças Intermoleculares
- Química InorgânicaSoluções e Substâncias InorgânicasSubstâncias Inorgânicas: dissociação iônica e ionização, conceitos de ácido-base
Provas
- FundamentosPropriedades das Substâncias
- Química InorgânicaGeometria Molecular, Polaridade e Forças Intermoleculares
Disponível em:<http://www.crq4.org.br/quimica_viva_os_metais_e _a_saude_humana . Acesso em: 17 abr. 2016, com adaptações.

Com base nessas informações, é correto afirmar que o complexo [Hg(DMSA)2] formado com o DMSA e o mercúrio apresenta
Provas

Considerando a cadeia de decaimento apresentada, é correto afirmar que as partículas são emitidas na ordem
Provas
Considere hipoteticamente que o núcleo do elemento A tem uma meia vida duas vezes maior que a do núcleo do elemento B. No tempo inicial, o número de núcleos do tipo B em uma amostra é oito vezes maior que o número de núcleos do tipo A. Haverá um instante em que os números de núcleos A e B serão iguais.
Com base no exposto, assinale a alternativa que apresenta esse instante em função do tempo de meia vida do núcleo B.
Provas

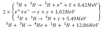
Considerando esse processo e sabendo que 1 g de hidrogênio tem 1 mol de átomos, e que NA = 6,022 x 1023 átomos/mol e eV = 1,6 x 10-19 j, assinale a alternativa que indica a energia aproximada, em terajoules, liberada por 4 gramas de hidrogênio.
Provas
Provas
Provas
Caderno Container