Foram encontradas 138 questões.
Num tribunal, dez réus devem ser julgados consecutivamente num mesmo dia. Três são paulistas, dois mineiros, trêsgaúchos e dois baianos. O número de maneiras de não serem julgados consecutivamente três paulista é
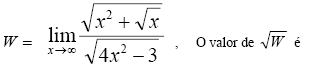
Provas
Dois dados perfeitos e distinguíveis são lançados ao acaso. a probabilidade de que a soma dos resultados obtidos seja 3 ou 6 é:
Provas
- GeometriaGeometria PlanaTriângulosMediana, Mediatriz, Bissetriz e Altura de Triângulos
- GeometriaGeometria PlanaCircunferências e Círculos
O círculo da figura tem centro no ponto O e raio igual a 1.

Então a área assinalada vale:
Provas
- GeometriaGeometria PlanaTriângulosClassificação dos Triângulos
- GeometriaGeometria PlanaTriângulosMediana, Mediatriz, Bissetriz e Altura de Triângulos
Sabendo que os pontos A(6,0) , E são vértices do triângulo ABC, que )6,0(B)0,0(CM é o ponto médio do lado BC e que é G o baricentro do triângulo, a área do triângulo GMB vale:
Provas
- GeometriaGeometria PlanaTriângulosMediana, Mediatriz, Bissetriz e Altura de Triângulos
- GeometriaGeometria PlanaQuadriláteros
Num presídio foi necessário isolar uma área para que alguns presos tomassem sol. dispondo de 60 m de alambrado e aproveitando o muro das dependências ( veja figura ), foram calculadas as dimensões para que essa área fosse máxima. Podemos afirmar que

Provas

Provas
Um agiota foi detido e, em seu depoimento, disse que emprestava dinheiro a uma taxa de 20% ao mês. Sabendo que ele descontava os juros no momento do empréstimo, a taxa mensal efetivamente cobrada pelo agiota é de
Provas
A eletrólise é um processo não espontâneo de descarga de íons, baseado na conversão de energia elétrica em energia química. Na eletrólise de uma solução aquosa de K2SO4 com eletrodos de platina, após interrupção da corrente elétrica, observa-se que o volume da solução na cela eletrolítica diminui de 54,0 mL. A carga que atravessou o eletrólito e o volume total dos gases liberados nos eletrodos nas condições ambiente são, respectivamente:
Dados: volume molar nas condições ambiente = 25L/mol; massa específica da água = 1g/mL massa molar do H = 1g/mol; massa molar do O = 16g/mol; carga de 1 faraday = 96500C
Provas
Um dos métodos laboratoriais de obtenção de alcanos é a síntese de Wurtz, que consiste na reação de haletos de alquila com sódio metálico. 13,7g de um brometo de alquila são levados a reagir com sódio metálico em excesso. Tem-se como produto 0,05 mol de um hidrocarboneto. Assinale a alternativa que corresponda a esse hidrocarboneto. Dados: massas molares C=12g/mol ; H=1g/mol ; Br=80g/mol ; Na=23g/mol
Provas
Na reação de óxido-redução Cr2O72- + Cl- + H3O+ → Cr3+ + H2O + Cl2 a soma dos menores coeficientes inteiros dos produtos é:
Provas
Caderno Container