Foram encontradas 461 questões.
Texto para as questões 24 e 25
X e Y são duas variáveis aleatórias dicotômicas com distribuição de probabilidade determinada por P(X = x, Y = y) = 0,4 xy × 0,2 1-xy , em que x = 0 ou x = 1 e y = 0 ou y = 1.
Acerca dessas variáveis, assinale a opção correta.
Provas
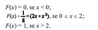
Considere que uma variável aleatória Y tenha uma distribuição determinada pela função de densidade de probabilidade ,
. Nessa situação, assinale a opção incorreta.
Provas
Considere a função de distribuição acumulada, da variável aleatória contínua X, apresentada a seguir.

Julgue os itens subseqüentes acerca dessa função.
I A moda de X é igual a 2.
II A mediana de X é igual a 1.
III A média de X é igual a
.
Assinale a opção correta.
Provas
Os técnicos João e Pedro executam um mesmo tipo de serviço. Para cada 3 serviços executados por João, Pedro executa 2 serviços. As probabilidades de eles cometerem um erro na execução do serviço são, respectivamente, iguais a 0,02 e 0,01. Em certo dia, um erro foi detectado na execução de determinado serviço, mas não se sabe quem executou o serviço. A probabilidade de o erro ter sido cometido pelo técnico João é igual a
Provas
- Modelos Téoricos da Administração PúblicaTipos de Dominação
- Modelos Téoricos da Administração PúblicaAdministração Burocrática
Acerca da burocracia, assinale a opção correta.
Provas
O conceito de ação social como ação provida de sentido pelo sujeito foi criado por
Provas

Com base no texto acima, assinale a opção correta, relativamente a crescimento e desequilíbrio social.
Provas
Evidências históricas indicam que a cultura humana esteve, desde seus primórdios, intimamente ligada à noção da distinção e da discriminação entre grupos sociais. Mais recentemente, pode-se observar que o processo histórico vem revelando uma marcante tendência à diferenciação e uma crescente complexidade das sociedades. Considerando esse contexto, assinale a opção correta.
Provas

Considerando o texto acima como referência inicial, assinale a opção correta.
Provas

A partir da temática abordada no texto, assinale a opção correta
Provas
Caderno Container