Foram encontradas 80 questões.
Peritos foram chamados para atender a um local de homicídio no interior do estado. Na cena do crime, eles coletaram amostras, identificadas como Q1 e Q2, e encaminharam para posterior análise genética. Além dos perfis das amostras do local, também foram analisadas amostras da vítima e do perito responsável pelo plantão. Os resultados estão descritos na tabela a seguir.
|
marcador |
Q1 | Q2 | vítima | perito |
|
A0melogenina |
X-X | X-Y | X-X |
X-Y |
|
D3S1359 |
10-11 | 10-11-15 | 10-11 |
15-15 |
|
D1S1656 |
14-16.3 | 14-15-16.3-18 | 14-16.3 |
15-18 |
|
D2S441 |
12-17 | 8-11-12-17 | 12-17 |
8-11 |
|
D10S1248 |
17-17 | 15-17 | 17-17 |
15-15 |
|
D13S317 |
7-8 | 7-8-9 | 7-8 | 8-9 |
|
Penta E |
20-20 | 7-20-23 | 20-20 |
7-23 |
|
D16S539 |
10-13 | 10-12-13-16 | 10-13 |
12-16 |
|
D18S51 |
11-14 | 11-14-16 | 11-14 | 16-16 |
|
D2S1338 |
12-28 | 12-28 | 12-28 | 12-12 |
Durante os exames de local, constatou-se que o perito não utilizou os equipamentos de proteção individual (EPIs) corretamente e o local do crime não estava bem preservado. Com relação à situação hipotética apresentada, assinale a opção correta.
Provas
Ao analisar uma amostra de local de crime, o perito identificou o seguinte perfil genético.
|
marcador genético |
perfil obtido |
|
TH01 |
9.3 |
|
D16S539 |
9-12-13 |
|
D8S1179 |
15-19 |
|
D21S11 |
31.2-32.2-35 |
|
D2S441 |
8-11.3-14-17 |
A molécula de DNA pode sofrer efeitos do meio onde se encontra. Condições ambientais, como sol e chuva, podem afetar a amostra e, consequentemente, interferir nos resultados da análise de DNA. A partir dessas informações, assinale a opção correta, acerca de análise genética.
Provas
Ao analisar uma amostra de local de crime, o perito identificou o seguinte perfil genético.
|
marcador genético |
perfil obtido |
|
TH01 |
9.3 |
|
D16S539 |
9-12-13 |
|
D8S1179 |
15-19 |
|
D21S11 |
31.2-32.2-35 |
|
D2S441 |
8-11.3-14-17 |
Diante do resultado obtido, infere-se que a amostra
Provas
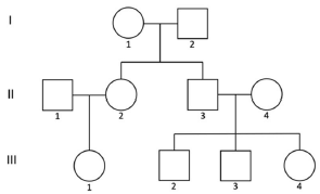
Figura 5A2
Os perfis genéticos dos indivíduos I-1 e I-2 para um determinado marcador genético são 11-15 e 14-16, respectivamente.

Analisando-se os perfis genéticos de I-1, I-2 e II-3 em 23 marcadores genéticos, observou-se que somente no marcador descrito na figura 5A2 foi obtido um resultado incompatível. O indivíduo II-3 apresentou genótipo 15-17 para o referido marcador genético.
Provas
Figura 5A2
Os perfis genéticos dos indivíduos I-1 e I-2 para um determinado marcador genético são 11-15 e 14-16, respectivamente.

Ainda com relação a figura 5A2, levando-se em consideração os perfis da geração I descritos e f(14) como a frequência do alelo 14 na população, a probabilidade de um de seus netos (geração III) apresentar o alelo 14 neste mesmo marcador é de
Provas
Figura 5A2
Os perfis genéticos dos indivíduos I-1 e I-2 para um determinado marcador genético são 11-15 e 14-16, respectivamente.

Tendo a figura 5A2 como referência, os possíveis genótipos dos filhos do casal da geração I, excluindo-se eventos de mutação, são
Provas
A reação em cadeia da polimerase (PCR, do inglês Polymerase Chain Reaction) permite copiar regiões específicas do DNA. A técnica de PCR em tempo real é uma variação da técnica de PCR que permite estimar a quantidade de DNA em amostras biológicas por meio de sondas que emitem fluorescência. A amplificação da sequência-alvo é monitorada durante o processo e, à medida que o DNA é amplificado, o nível de fluorescência cresce proporcionalmente. O resultado é visualizado ao longo do processo, dispensando a etapa de eletroforese. Essa técnica
Provas
No processo de extração de DNA, são utilizadas diversas soluções, cada uma com sua função. Assinale a opção que apresenta a substância quelante de cátions divalentes que garante a integridade da molécula de DNA por inibir a ação de nucleases.
Provas
Dois bebês foram trocados na maternidade de um hospital e, somente anos depois, uma das mães, Maria, recebeu a informação de que ela não era a mãe biológica de sua filha, Joana. O exame de DNA, solicitado pelo suposto pai e ex-companheiro de Maria, apresentou o resultado que confirmou ter havido erro da unidade de saúde uma vez que tanto o suposto pai quanto Maria não possuíam perfis genéticos compatíveis com o de pais biológicos de Joana. Maria nunca desconfiou que poderia ter havido troca dos bebês no hospital, pois, segundo ela, a menina tem aparência semelhante à de sua família, pois o pai é claro, a mãe é morena e o irmão, negro.
Com relação à situação hipotética apresentada e assuntos correlatos, assinale a opção correta.
Provas
Na estimativa do IPM pela análise da sucessão de insetos em um cadáver, é muito importante determinar a ordem em que cada espécie estabelece sua colonização. Tradicionalmente, os primeiros insetos colonizadores do cadáver são espécies de
Provas
Caderno Container